Toán 8 Phân tích đa thức thành nhân tử bằng phương pháp dùng hằng đẳng thức Lý thuyết Toán 8
Toán 8 Bài 7 Phân tích đa thức thành nhân tử bằng phương pháp dùng hằng đẳng thức
Lý thuyết Phân tích đa thức thành nhân tử bằng phương pháp dùng hằng đẳng thức SGK Toán 8 tập 1 dưới sự trình bày chi tiết, rõ ràng theo khung chương trình sách giáo khoa Toán 8 giúp cho các bạn học sinh ôn tập và củng cố lý thuyết môn Toán lớp 8 vững vàng. Mời các bạn tham khảo!
Phân tích đa thức thành nhân tử
1. Phân tích đa thức thành nhân tử là gì?
- Phân tích đa thức thành nhân tử (hay thừa số) là biến đổi đa thức đó thành một tích của những đa thức
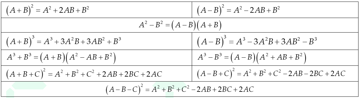
2. Phương pháp dùng hằng đẳng thức
- Vận dụng hằng đẳng thức để biến đổi đa thức thành tích các nhân tử hoặc lũy thừa của một đa thức đơn giản.

Chú ý: Quy tắc dấu ngoặc
Khi bỏ dấu ngoặc có dấu "−" đứng trước, ta phải đối dấu tất cả các số hạng trong dấu ngoặc: dấu "−“ thành dấu "+" và dấu "+” thành dấu "−". Khi bỏ dấu ngoặc có dấu "+" đứng trước thì dấu các số hạng trong ngoặc vẫn giữ nguyên.
Ví dụ: Dùng hằng đẳng thức phân tích đa thức thành nhân tử: ![]()
Hướng dẫn giải
Ta có:

------------------------------------------------
Bài tiếp theo: Toán 8 Bài 8 Phân tích đa thức thành nhân tử bằng phương pháp nhóm hạng tử
Bài liên quan:
- Giải Toán 8 Bài 7 Phân tích đa thức thành nhân tử bằng phương pháp dùng hằng đẳng thức
- Luyện Bài tập Toán 8 Phân tích đa thức thành nhân tử bằng phương pháp hằng đẳng thức
Trên đây là Cách phân tích đa thức thành nhân tử dành cho các em học sinh tham khảo, nắm chắc được lí thuyết Toán Chương 1: Phép nhân và phép chia các đa thức. Qua đó giúp các em học sinh ôn tập nắm chắc kiến thức cơ bản môn Toán 8 và hỗ trợ các em học sinh trong các kì thi trong năm học lớp 8.
Xem thêm bài viết khác

Luyện tập Phân tích đa thức thành nhân tử bằng phương pháp đặt nhân tử chung

Giải Toán 8 Bài 2 Nhân đa thức với đa thức

Toán 8 Chia đa thức cho đơn thức

Toán 8 Chia đơn thức cho đơn thức

Toán 8 Phân tích đa thức thành nhân tử bằng phương pháp nhóm hạng tử




