Toán 9 Bài 7: Phương trình quy về phương trình bậc hai Lý thuyết toán 9 chương 4 đại số
Toán 9 Bài 7: Phương trình quy về phương trình bậc hai nằm trong Lý thuyết Toán 9 tập 2 được trình bày chi tiết, rõ ràng theo khung chương trình SGK giúp cho các bạn học sinh ôn tập và củng cố lý thuyết môn Toán lớp 9.
Lý thuyết Phương trình quy về phương trình bậc hai
1. Phương trình trùng phương
Phương trình trùng phương là phương trình có dạng
(a ≠ 0)
Giải phương trình
(a ≠ 0)
+ Đặt ẩn phụ
, t ≥ 0
+ Giải phương trình ẩn phụ mới: ![]()
+ Với mỗi giá trị tìm được của t, lại giải phương trình
.
Ví dụ: Giải phương trình ![]()
Hướng dẫn:
Đặt
, t ≥ 0 Khi đó ta được phương trình bậc hai đối với ẩn t là
(*)
Ta có: ![]()
Khi đó phương trình (*) có hai nghiệm là: ![]()
+ Với t1 = 9 ta có x2 = 9 có hai nghiệm là x1 = 3; x2 = -3.
+ Với t2 = 4 ta có x2 = 4 có hai nghiệm là x1 = 2; x2 = -2.
2. Phương trình chứa ẩn ở mẫu
Khi giải phương trình chứa ẩn ở mẫu thức, ta làm như sau:
- Bước 1: Tìm điều kiện xác định của phương trình
- Bước 2: Quy đồng mẫu thức hai vế rồi khử mẫu thức
- Bước 3: Giải phương trình vừa nhận được
- Bước 4: Trong các giá trị tìm được của ẩn, loại các giá trị không thỏa mãn điều kiện xác định, các giá trị thỏa mãn điều kiện xác định là nghiệm của phương trình đã cho.
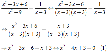
Ví dụ: Giải phương trình ![]()
Hướng dẫn:
Điều kiện x ≠ ±3.
Khi đó ta có

Ta có: ![]()
Khi đó, phương trình (1) có hai nghiệm là: ![]()
Kết hợp điều kiện, vậy phương trình có hai nghiệm là x = 1
3. Phương trình tích
Ta có: 
Để đưa phương trình đã cho về phương trình tích ta dùng phương pháp: đặt nhân tử chung, nhóm hạng tử, phương pháp thêm bớt hay sử dụng hằng đẳng thức đáng nhớ.
>>> Bài tiếp theo: Lý thuyết Giải bài toán bằng cách lập phương trình lớp 9
Trên đây là Lý thuyết Phương trình quy về phương trình bậc hai lớp 9 dành cho các em học sinh tham khảo, nắm chắc được lí thuyết Toán lớp 9 Chương 4: Phương trình bậc hai một ẩn. Qua đó giúp các em học sinh ôn tập nắm chắc kiến thức cơ bản môn Toán 9 và hỗ trợ các em học sinh trong các kì thi trong năm học lớp 9. Ngoài ra mời thầy cô và học sinh tham khảo thêm một số tài liệu tham khảo: Luyện tập Toán 9, Lí thuyết Toán 9, ...
Xem thêm bài viết khác

Toán 9 Bài 3: Phương trình bậc hai một ẩn

Toán 9 Bài 4: Công thức nghiệm của phương trình bậc hai

Toán 9 Bài 5: Công thức nghiệm thu gọn

Toán 9 Bài 6: Hệ thức Vi-ét và ứng dụng

Toán 9 Bài 8: Giải bài toán bằng cách lập phương trình

Giải Toán 9 Bài 7 Phương trình quy về phương trình bậc hai





