Toán 7 Bài 3: Phép cộng và phép trừ đa thức một biến Toán 7 sách Chân trời sáng tạo
Lý thuyết bài 3: Phép cộng và phép trừ đa thức một biến - Toán lớp 7 Chân trời sáng tạo trang 33 SGK được GiaiToan biên soạn đăng tải. Bài giảng có lý thuyết được tóm tắt ngắn gọn và các bài tập minh hoạ kèm theo lời giải chi tiết cho các em tham khảo, rèn luyện kỹ năng giải Toán 7 Chân trời sáng tạo. Mời các em học sinh cùng tham khảo.
Lý thuyết Toán 7 bài 3: Phép cộng và phép trừ đa thức một biến
1. Tóm tắt lý thuyết
1.1. Phép cộng hai đa thức một biến
Để cộng hai đa thức một biến, ta có thể thực hiện theo một trong hai cách sau: - Cách 1: Nhóm các đơn thức cùng luỹ thừa của biến rồi thực hiện phép công. - Cách 2: Sắp xếp các đơn thức của hai đa thức cùng theo thứ tự luỹ thừa tăng dần (hoặc giảm dân) của biến và đặt tính dọc sao cho luỹ thừa giống nhau ở hai đa thức thắng cột với nhau, rời thực hiện cộng theo cột. |
|---|
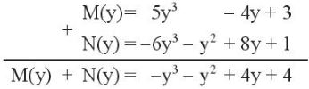
Ví dụ: Cho
và
. Hãy tính tổng của M(y) và N(y) bằng hai cách.
Giải
Cách 1:

Cách 2:

1.2. Phép trừ hai đa thức một biến
Để trừ hai đa thức một biến, ta có thể thực hiện theo một trong hai cách sau: - Cách 1: Nhóm các đơn thức cùng luỹ thừa của biến rồi thực hiện phép trừ. - Cách 2: Sắp xếp các đơn thức của hai đa thức cùng theo thứ tự luỹ thừa tăng dần (hoặc giảm dân) của biên và đặt tính dọc sao cho luỹ thừa giông nhau ở hai đa thức thẳng cột với nhau, rồi thực hiện trừ theo cột. |
|---|
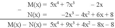
Ví dụ: Cho
và
. Tính M(x) - N(x) bằng hai cách.
Cách 1:

Cách 2:

1.3. Tính chất của phép cộng đa thức một biến
Cho A, B, C là các đa thức một biến với cùng một biến số. Ta có: * A + B = B + A; * A + (B + C) = (A + B) + C. |
|---|
V¡ dụ: Thực hiện phép tính ![]()
Giải
![\begin{array}{l}
\left( {2x - 1} \right) + \left[ {\left( {{x^2} + 3x} \right) + \left( {2 - 2x} \right)} \right]\\
= \left( {2x - 1} \right) + \left[ {\left( {2 - 2x} \right) + \left( {{x^2} + 3x} \right)} \right]\\
= 1 + \left( {{x^2} + 3x} \right)\\
= {x^2} + 3x + 1
\end{array}](https://t.vdoc.vn/data/image/holder.png)
Bài tập minh họa
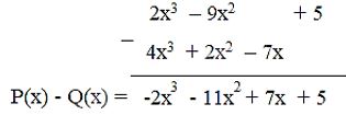
Câu 1: Cho hai đa thức
và
. Hãy tính P(x) – Q(x) bằng hai cách.
Hướng dẫn giải
Cách 1:
Ta có P(x) - Q(x)
= 2x3 – 9x2 + 5 – (2x2 + 4x3 – 7x)
= 2x3 – 9x2 + 5 – 2x2 – 4x3 + 7x
= (2x3 – 4x3) + (-9x2 – 2x2) + 7x + 5
= -2x3 – 11x2 + 7x + 5
Cách 2:
P(x) = 2x3 – 9x2 + 5
Q(x) = 4x3 + 2x2 – 7x

Câu 2: Thực hiện phép tính ![]()
Hướng dẫn giải
![\begin{array}{l}(x - 4) + \left[ {({x^2} + 2x) + (7 - x)} \right]\\ = x - 4 + ({x^2} + 2x + 7 - x)\\ = x - 4 + {x^2} + 2x + 7 - x\\ = {x^2} + (x + 2x - x) + ( - 4 + 7)\\ = {x^2} + 2x + 3\end{array}](https://t.vdoc.vn/data/image/holder.png)
>>> Bài tiếp theo: Toán 7 Bài 4: Phép nhân và phép chia đa thức một biến
>>> Bài trước: Toán 7 Bài 2: Đa thức một biến
Toán 7 Bài 3: Phép cộng và phép trừ đa thức một biến được GiaiToan chia sẻ trên đây. Hy vọng với phần tóm tắt kiến thức cơ bản này sẽ giúp các em thực hiện được phép cộng và phép trừ hai đa thức một biến, vận dụng được những tính chất của phép cộng đa thức một biến trong tính toán. Chúc các em học tốt, mời các em tham khảo thêm các dạng bài tập Toán lớp 7 tại chuyên mục Giải Toán 7 Tập 2 CTST do GiaiToan biên soạn để ôn tập nhé.
Xem thêm bài viết khác

Toán 7 Bài 6: Tính chất ba đường trung trực của tam giác

Toán 7 Bài 5: Đường trung trực của một đoạn thẳng

Toán 7 Bài 4: Đường vuông góc và đường xiên

Toán 7 Bài 3: Tam giác cân

Toán 7 Bài 2: Tam giác bằng nhau

Toán 7 Bài 1: Góc và cạnh của một tam giác

Toán 7 Bài 2: Biểu đồ hình quạt tròn sách CTST

Toán 7 Bài 1: Thu thập và phân loại dữ liệu sách CTST

Toán 7 Bài 4: Định lí và chứng minh định lí sách CTST

Toán 7 Bài 3: Hai đường thẳng song song sách CTST

Toán 7 Bài 2: Tia phân giác sách CTST

Lý thuyết Bài 1: Các góc ở vị trí đặc biệt sách CTST












