Toán 7 Bài 27: Phép nhân đa thức một biến Toán 7 sách Kết nối tri thức
Lý thuyết bài 27: Phép nhân đa thức một biến - Toán lớp 7 Kết nối tri thức trang 31 SGK được GiaiToan biên soạn và đăng tải. Bài học hôm nay bao gồm kiến thức cần nhớ về phép nhân đa thức một biến.. Bên cạnh đó còn có các bài tập minh họa có hướng dẫn giải chi tiết, giúp các em học tập và củng cố thật tốt kiến thức. Mời các em cùng tham khảo.
Lý thuyết Toán 7 bài 27: Phép nhân đa thức một biến
1. Tóm tắt lý thuyết
1.1. Nhân đơn thức với đa thức
| Muốn nhân một đơn thức với một đa thức, ta nhân đơn thức với từng hạng tử của đa thức rồi cộng các tích với nhau. |
|---|
Ví dụ: Tính: ![]()
Giải
Ta có:

1.2. Nhân đa thức với đa thức
Tổng quát, ta có quy tắc sau:
| Muốn nhân một đa thức với một đa thức, ta nhân mỗi hạng tử của đa thức này với từng hạng tử của đa thức kia rồi cộng các tích với nhau. |
|---|
Ví dụ: Thực hiện phép nhân: ![]()
Giải

Chú ý:
* Ta có thể trình bày phép nhân trên bằng cách đặt tính nhân:


Khi trình bày theo cách này ta cần:
+ Nhân lần lượt mỗi hạng tử ở dòng dưới với đa thức ở dòng trên và viết kết quả trong một dòng riêng.
+ Viết các dòng sao cho các hạng tử cùng bậc thẳng cột với nhau (để thực hiện phép cộng theo cột).
* Phép nhân đa thức cũng có các tính chất:
+ Giao hoán: A . B = B . A.
+ Kết hợp: (A . B) . C = A . (B . C).
+ Phân phối đối với phép cộng: A . (B + C) = A . B + A . C.
2. Bài tập minh họa
Câu 1: Tính: (-2x2) . (3x – 4x3 + 7 – x2)
Hướng dẫn giải
Ta có: (-2x2) . (3x – 4x3 + 7 – x2)
= (-2x2) . 3x + (-2x2) . (-4x3) + (-2x2) . 7 + (-2x2) . (-x2)
= [(-2).3] . (x2 . x) + [(-2).(-4)] . (x3 . x2) + [(-2).7] . x2 + [(-2).(-1)] . (x2 . x2)
= -6x3 + 8x5 + (-14)x2 + 2x4
= 8x5 +2x4 -6x3 – 14x2
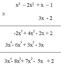
Câu 2: Tính (x3 – 2x2 + x – 1)(3x – 2). Trình bày lời giải theo 2 cách.
Hướng dẫn giải
Cách 1:
(x3 – 2x2 + x – 1) (3x – 2)
= x3 . (3x – 2) + (-2x2) .(3x – 2) + x .(3x – 2) + (-1) . (3x – 2)
= x3 . 3x + x3 . (-2) + (-2x2). 3x + (-2x2) . (-2) + x . 3x + x. (-2) + (-1). 3x + (-1). (-2)
= 3x4 – 2x3 – 6x3 + 4x2 + 3x2 – 2x – 3x + 2
= 3x4 + (-2x3 -6x3) + (4x2 + 3x2 ) + (-2x – 3x) + 2
= x4 + (-8x3) + 7x2 + (-5x) + 2
= x4 – 8x3 +7x2 – 5x + 2
Cách 2:

Toán 7 Bài 27: Phép nhân đa thức một biến được GiaiToan chia sẻ trên đây. Hy vọng với phần lý thuyết trên đây sẽ giúp các em nắm được trọng tâm của bài, qua đó áp dụng vào giải các dạng bài tập về phép nhân đa thức một biến. Chúc các em học tốt, mời các em tham khảo thêm các dạng bài tập Toán lớp 7 tại chuyên mục Giải Toán 7 Tập 2 KNTT do GiaiToan biên soạn để ôn tập nhé. Chúc các em học tốt.
Xem thêm bài viết khác

Toán 7 Bài 35: Sự đồng quy của ba đường trung trực, ba đường cao trong một tam giác

Toán 7 Bài 34: Sự đồng quy của ba trung tuyến, ba đường phân giác trong một tam giác

Toán 7 Bài 33: Quan hệ giữa ba cạnh của một tam giác

Toán 7 Bài 32: Quan hệ giữa đường vuông góc và đường xiên

Toán 7 Bài 31: Quan hệ giữa góc và cạnh đối diện trong một tam giác

Toán 7 Bài 30: Làm quen với xác suất của biến cố

Toán 7 Bài 29: Làm quen với biến cố

Toán 7 Bài 25: Đa thức một biến

Toán 7 Bài 24: Biểu thức đại số

Toán 7 Bài 23: Đại lượng tỉ lệ nghịch

Toán 7 Bài 22: Đại lượng tỉ lệ thuận

Toán 7 Bài 21: Tính chất của dãy tỉ số bằng nhau

Toán 7 Bài 20: Tỉ lệ thức












