Toán 7 Bài 25: Đa thức một biến Toán 7 sách Kết nối tri thức
Lý thuyết bài 25: Đa thức một biến - Toán lớp 7 Kết nối tri thức trang 25 SGK được GiaiToan biên soạn và đăng tải. Bài học hôm nay bao gồm tóm tắt lý thuyết kèm theo bài tập để các em ôn tập, nắm chắc kiến thức của bài từ đó học tốt môn Toán lớp 7. Dưới đây là nội dung chi tiết, các em tham khảo nhé.
Lý thuyết Toán 7 bài 25: Đa thức một biến
A. Lý thuyết Đa thức một biến
1. Đa thức một biến
• Đa thức một biến là tổng của những đơn thức của cùng một biến.
• Một số được coi là một đa thức một biến.
• Bậc của đa thức một biến (khác đa thức không, đã thu gọn) là số mũ lớn nhất của biến trong đa thức đó.
Ví dụ 1: Đa thức 5x5 + 4x3 - 2x2 + x là đa thức một biến (biến x); bậc của đa thức là 5.
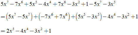
Ví dụ 2: Cho đa thức sau: 5x7 - 7x6 + 5x5 - 4x4 + 7x6 - 3x2 + 1 - 5x7 - 3x5
Bậc của đa thức đã cho là bao nhiêu?
Hướng dẫn giải:
Thu gọn đa thức ta được:

Đa thức đã cho có bậc là 5.
2. Sắp xếp một đa thức một biến
Để thuận lợi cho việc tính toán đối với các đa thức một biến, người ta thường sắp xếp các hạng tử của chúng theo lũy thừa tăng hoặc giảm của biến.
Ví dụ 1: Đối với đa thức P(x) = 6x + 3 - 6x2 + x3 + 2x4
+ Khi sắp xếp các hạng tử của nó theo lũy thừa giảm của biến, ta được:
P(x) = 2x4 + x3 - 6x2 + 6x + 3
+ Khi sắp xếp các hạng tử của nó theo lũy thừa tăng của biến, ta được:
P(x) = 3 + 6x - 6x2 + x3 + 2x4
Nhận xét:
Mọi đa thức bậc 2 của biến x, sau khi đã sắp xếp các hạng tử của chúng theo lũy thừa giảm của biến, đều có dạng: ax2 + bx + c
Trong đó a,b,c là các số cho trước và a ≠ 0.
Chú ý:
+ Để sắp xếp các hạng tử của một đa thức, trước hết ta phải thu gọn đa thức đó.
+ Những chữ đại diện cho các số xác định cho trước được gọi là hằng số.
Ví dụ 2: Cho đa thức P(x) = 2 + 5x2 - 3x3 + 4x - 2x - x3 + 6x5. Thu gọn và sắp xếp đa thức
P(x) = 2 + 5x2 - 3x3 + 4x2 - 2x - x3 + 6x5 = 6x5 + (-3x3 - x3) + (5x2 + 4x2) - 2x + 2 = 6x5 - 4x3 + 9x2 - 2x + 2
3. Hệ số
Hệ số của lũy thừa bậc 0 của biến gọi là hệ số tự do; hệ số của lũy thừa cao nhất của biến gọi là hệ số cao nhất.
Ví dụ: Các hệ số của đa thức 6x5 - x4 + 5x2 - x + 2 là 6; -1; 5; -1; 2
Hệ số tự do là: 2
Hệ số cao nhất là: 6
B. Bài tập Đa thức một biến
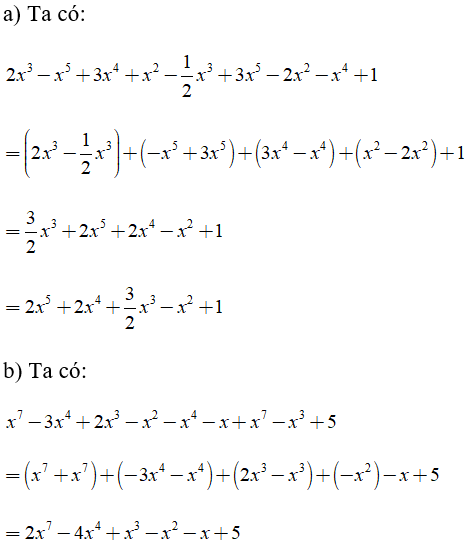
Bài 1: Thu gọn các đa thức sau và sắp xếp theo lũy thừa giảm dần của biến
a) 2x3 - x5 + 3x4 + x2 - (1/2)x3 + 3x5 - 2x2 - x4 + 1
b) x7 - 3x4 + 2x3 - x2 - x4 - x + x7 - x3 + 5
Hướng dẫn giải:

Bài 2: Tính giá trị của các biểu thức sau:
a) x + x2 + x3 + x4 + .... + x99 + x100 tại x = -1
b) x2 + x4 + x6 + .... + x98 + x100 tại x = -1
Hướng dẫn giải:

>>> Bài tiếp theo: Toán 7 Bài 26: Phép cộng và phép trừ đa thức một biến
>>> Bài trước: Toán 7 Bài 24: Biểu thức đại số
Toán 7 Bài 25: Đa thức một biến được GiaiToan chia sẻ trên đây. Với phần lý thuyết này sẽ là tài liệu hữu ích cho các em tham khảo, từ đó áp dụng tốt vào giải bài tập biểu thức đại số. Chúc các em học tốt, mời các em tham khảo thêm các dạng bài tập Toán lớp 7 tại chuyên mục Giải Toán 7 Tập 2 KNTT do GiaiToan biên soạn để ôn tập nhé. Chúc các em học tốt và đạt kết quả cao!.
Xem thêm bài viết khác

Toán 7 Bài 32: Quan hệ giữa đường vuông góc và đường xiên

Toán 7 Bài 31: Quan hệ giữa góc và cạnh đối diện trong một tam giác

Toán 7 Bài 30: Làm quen với xác suất của biến cố

Toán 7 Bài 29: Làm quen với biến cố

Toán 7 Bài 28: Phép chia đa thức một biến

Toán 7 Bài 27: Phép nhân đa thức một biến

Toán 7 Bài 23: Đại lượng tỉ lệ nghịch

Toán 7 Bài 22: Đại lượng tỉ lệ thuận

Toán 7 Bài 21: Tính chất của dãy tỉ số bằng nhau

Toán 7 Bài 20: Tỉ lệ thức

Lý thuyết bài 19: Biểu đồ đoạn thẳng - KNTT

Lý thuyết bài 18: Biểu đồ hình quạt tròn - KNTT

Lý thuyết bài 17: Thu thập và phân loại dữ liệu - KNTT












