Toán 7 Bài 26: Phép cộng và phép trừ đa thức một biến Toán 7 sách Kết nối tri thức
Lý thuyết bài 26: Phép cộng và phép trừ đa thức một biến - Toán lớp 7 Kết nối tri thức trang 31 SGK được GiaiToan biên soạn và đăng tải. Tài liệu bao gồm kiến thức cần nhớ về tổng của hai đa thức, trừ của hai đa thức một biến,... Bên cạnh đó còn có các bài tập minh họa có hướng dẫn giải chi tiết, giúp các em học tập và củng cố thật tốt kiến thức. Mời các em cùng tham khảo.
Lý thuyết Toán 7 bài 26: Phép cộng và phép trừ đa thức một biến
1.Tóm tắt lý thuyết
1.1. Cộng hai đa thức một biến
Cho hai đa thức:
và ![]()
Giả sử ta cần tìm tổng:
![]()
Ta có thể trình bày phép cộng này theo một trong hai cách sau:
Cách 1: Bỏ dấu ngoặc rồi nhóm các hạng tử cùng bậc:

Vậy ![]()
Cách 2: Đặt tính cộng sao cho các hạng tử cùng bậc đặt thẳng cột với nhau rồi cộng theo từng cột:


Chú ý
Phép cộng đa thức cũng có các tính chất như phép cộng các số thực. Cụ thể là:
+ Tính chất giao hoán: A + B = B+ A.
+ Tính chất kết hợp: (A + B) + C = A + (B + C).
+ Cộng với đa thức không: A + 0 = 0 + A = A.
1.2. Trừ hai đa thức một biến
Tương tự như các số, đối với các đa thức P, Q, R, ta cũng có:
Nếu Q + R = P thì R = P - Q.
Nếu R = P - Q thì Q + R = P.
2. Bài tập minh họa Phép cộng và phép trừ đa thức một biến
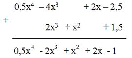
Câu 1: Cho hai đa thức M = 0,5x4 – 4x3 + 2x – 2,5 và N = 2x3 + x2 + 1,5. Hãy tính tổng M + N ( trình bày theo 2 cách)
Hướng dẫn giải
Cách 1:
M + N = (0,5x4 – 4x3 + 2x – 2,5) + ( 2x3 + x2 + 1,5)
= 0,5x4 – 4x3 + 2x – 2,5 + 2x3 + x2 + 1,5
= 0,5x4 + (– 4x3 + 2x3 ) + x2 + 2x + (-2,5 + 1,5)
= 0,5x4 + (– 2x3 ) + x2 + 2x + (-1)
= 0,5x4 – 2x3 + x2 + 2x – 1
Cách 2:

Câu 2: Cho hai đa thức P = x4 + 3x3 – 5x2 + 7x và Q = -x3 + 4x2 – 2x +1. Tìm hiệu P – Q bằng cách bỏ dấu ngoặc rồi nhóm các hạng tử cùng bậc và thu gọn.
Hướng dẫn giải
+ Bước 1: Bỏ dấu ngoặc: Trước dấu ngoặc là dấu “ –“ thì ta bỏ dấu ngoặc đồng thời đổi dấu tất cả các số hạng trong ngoặc.
+Bước 2: Nhóm các hạng tử cùng bậc
+ Bước 3: Thu gọn
Ta có: P – Q = x4 + 3x3 – 5x2 + 7x – (-x3 + 4x2 – 2x +1)
= x4 + 3x3 – 5x2 + 7x + x3 - 4x2 - 4x2 + 2x – 1
= x4 + (3x3+ x3 ) + (– 5x2 - 4x2 ) + (7x + 2x ) – 1
= x4 + 4x3 – 9x2 + 9x – 1
3. Luyện tập Bài 26 Toán 7 KNTT
Qua bài giảng ở trên, giúp các em học sinh:
- Thực hiện các phép tính cộng, trừ hai đa thức.
- Nhận biết các tính chất của phép cộng đa thức.
- Vận dụng các tính chất của phép cộng đa thức trong tính toán.
>>> Bài tiếp theo: Toán 7 Bài 27: Phép nhân đa thức một biến
>>> Bài trước: Toán 7 Bài 25: Đa thức một biến
Toán 7 Bài 26: Phép cộng và phép trừ đa thức một biến được GiaiToan chia sẻ trên đây. Hy vọng phần lý thuyết này sẽ giúp ích cho các em nắm chắc trọng tâm của bài, từ đó áp dụng tốt vào giải bài toán phép cộng và phép trừ đa thức một biến, cũng như chuẩn bị cho bài thi giữa học kì và cuối kì môn Toán lớp 7 sắp tới. Ngoài việc tham khảo lý thuyết các em cũng đừng quên giải các bài tập Toán lớp 7 tại chuyên mục Giải Toán 7 Tập 2 KNTT do GiaiToan biên soạn để ôn tập nhé. Chúc các em học tốt.
Xem thêm bài viết khác

Toán 7 Bài 33: Quan hệ giữa ba cạnh của một tam giác

Toán 7 Bài 32: Quan hệ giữa đường vuông góc và đường xiên

Toán 7 Bài 31: Quan hệ giữa góc và cạnh đối diện trong một tam giác

Toán 7 Bài 30: Làm quen với xác suất của biến cố

Toán 7 Bài 29: Làm quen với biến cố

Toán 7 Bài 28: Phép chia đa thức một biến

Toán 7 Bài 24: Biểu thức đại số

Toán 7 Bài 23: Đại lượng tỉ lệ nghịch

Toán 7 Bài 22: Đại lượng tỉ lệ thuận

Toán 7 Bài 21: Tính chất của dãy tỉ số bằng nhau

Toán 7 Bài 20: Tỉ lệ thức

Lý thuyết bài 19: Biểu đồ đoạn thẳng - KNTT











