Đề thi học kì 2 lớp 1 môn Toán sách Chân trời sáng tạo năm học 2020 - 2021 Đề số 1 Đề thi học kì 2 môn Toán lớp 1 theo Thông tư 27
Đề thi học kì 2 Toán lớp 1 sách Chân trời sáng tạo năm học 2020 – 2021 – Đề số 1
Đề thi Toán lớp 1 học kì 2 sách Chân trời sáng tạo năm học 2020 - 2021 Đề số 1 được biên soạn là đề Toán lớp 1 kì 2 có đáp án kèm theo. Đề thi được biên soạn chuẩn theo Ma trận Đề thi học kì 2 môn Toán lớp 1 theo Thông tư 27. Qua đó sẽ giúp các em học sinh ôn tập và củng cố các dạng bài tập Toán lớp 1 kì 2 có trong đề thi lớp 1. Hi vọng tài liệu này giúp các em học sinh lớp 1 tự ôn luyện và vận dụng các kiến thức đã học vào việc giải bài tập toán. Chúc các em học tốt.
MỚI NHẤT:
- Bộ đề thi học kì 2 lớp 1 môn Toán sách Kết nối tri thức năm học 2021 - 2022
- Bộ đề thi học kì 2 lớp 1 môn Toán sách Cánh Diều năm học 2021 - 2022
- Bộ đề thi học kì 2 lớp 1 môn Toán sách Chân trời sáng tạo năm học 2021 - 2022
- Đề thi học kì 2 lớp 1 môn Toán sách Chân trời sáng tạo năm học 2021 - 2022 Đề số 1
- Đề thi học kì 2 lớp 1 môn Toán sách Chân trời sáng tạo năm học 2021 - 2022 Đề số 2
- Đề thi học kì 2 lớp 1 môn Toán sách Chân trời sáng tạo năm học 2021 - 2022 Đề số 3
Nghiêm cấm sao chép với mục đích thương mại
Đề thi học kì 2 môn Toán lớp 1 – Đề số 1
I. Phần trắc nghiệm (3 điểm)
Khoanh vào đáp án đặt trước câu trả lời đúng:
Câu 1 (0,5 điểm): Số gồm 5 chục và 2 đơn vị được viết là:
| A. 20 | B. 50 | C. 25 | D. 52 |
Câu 2 (0,5 điểm): Các số 73, 19, 42, 67 được sắp xếp theo thứ tự từ bé đến lớn là:
| A. 73, 19, 42, 67 | B. 19, 42, 67, 73 |
| C. 73, 67, 42, 19 | D. 19, 67, 42, 73 |
Câu 3 (0,5 điểm): Số liền trước của số 63 là số:
| A. 62 | B. 61 | C. 60 | D. 59 |
Câu 4 (0,5 điểm): Nhìn vào tờ lịch, hôm nay là ngày:

| A. Thứ bảy, ngày 12 | B. Thứ hai, ngày 15 |
| C. Thứ bảy, ngày 16 | D. Thứ bảy, ngày 15 |
Câu 5 (0,5 điểm): Hình dưới đây có bao nhiêu hình tam giác?

| A. 5 hình | B. 6 hình | C. 3 hình | D. 4 hình |
Câu 6 (0,5 điểm): Đồng hồ dưới đây chỉ:

| A. 5 giờ | B. 7 giờ | C. 6 giờ | D. 12 giờ |
II. Phần tự luận (7 điểm)
Bài 1 (3 điểm):
a) Đặt tính rồi tính:
| 24 + 13 | 57 – 43 |
b) Tính nhẩm:
| 10 + 10 – 10 = | 80 – 40 – 20 = |
c) Điền dấu <, >, = vào chỗ chấm:
| 37 …. 53 | 45 …. 22 | 70 – 20 … 50 |
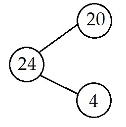
Bài 2 (1 điểm): Điền số thích hợp vào ô trống (theo mẫu):
Mẫu:
|
|
Bài 3 (1,5 điểm):
a) Hình bên có: …..hình tròn …..hình tam giác |
b) Điền số thích hợp vào chỗ chấm:

Bút chì có độ dài bằng ….cm.
Bài 4 (1,5 điểm): Viết phép tính rồi nói câu trả lời:
Lớp 1A có 22 bạn học sinh nam và 20 bạn học sinh nữ. Hỏi lớp 1A có bao nhiêu học sinh?
Đáp án đề thi học kì 2 môn Toán lớp 1 – Đề số 1
I. Phần trắc nghiệm
| Câu 1 | Câu 2 | Câu 3 | Câu 4 | Câu 5 | Câu 6 |
| D | B | A | D | A | C |
II. Phần tự luận
Bài 1:
a) Học sinh tự đặt phép tính rồi tính:
| 24 + 13 = 37 | 57 – 43 = 14 |
b)
| 10 + 10 – 10 = 10 | 80 – 40 – 20 = 20 |
c)
| 37 < 53 | 45 > 22 | 70 – 20 = 50 |
Bài 2:

Bài 3:
a) Hình bên có 8 hình tròn, 1 hình tam giác.
b) Bút chì có độ dài bằng 6cm.
Bài 4:
Phép tính: 22 + 20 = 42
Trả lời: Lớp 1A có 42 học sinh.
Tham khảo thêm:
- Bộ đề thi học kì 2 lớp 1 môn Toán sách Kết nối tri thức năm học 2020 - 2021
- Bộ đề thi học kì 2 lớp 1 môn Toán sách Cánh Diều năm học 2020 - 2021
- Bộ đề thi học kì 2 lớp 1 môn Toán sách Chân trời sáng tạo năm học 2020 - 2021
- Đề thi học kì 2 lớp 1 môn Toán sách Chân trời sáng tạo năm học 2020 - 2021 Đề số 1
- Đề thi học kì 2 lớp 1 môn Toán sách Chân trời sáng tạo năm học 2020 - 2021 Đề số 2
- Đề thi học kì 2 lớp 1 môn Toán sách Chân trời sáng tạo năm học 2020 - 2021 Đề số 3
- Đề thi học kì 2 lớp 1 môn Toán sách Chân trời sáng tạo năm học 2020 - 2021 Đề số 4
- Đề thi học kì 2 lớp 1 môn Toán sách Chân trời sáng tạo năm học 2020 - 2021 Đề số 5
------------------
Ngoài Đề thi Toán lớp 1 kì 2 năm học 2020 - 2021 trên, các em học sinh lớp 1 còn có thể tham khảo đề thi học kì 1 lớp 1 hay đề thi lớp 2 kì 1 của các môn Toán lớp 1, Tiếng Việt lớp 1 và Tiếng Anh lớp 1 được sưu tầm và chọn lọc. Hy vọng với những tài liệu này, các em học sinh sẽ học tốt môn Toán lớp 1 hơn.
Link Download chính thức:
Đề thi học kì 2 lớp 1 môn Toán sách Chân trời sáng tạo năm học 2020 - 2021 Đề số 1 DownloadXem thêm bài viết khác

Đề thi học kì 2 lớp 1 môn Toán sách Kết nối tri thức năm học 2020 - 2021 Đề số 3

Đề thi học kì 2 lớp 1 môn Toán sách Cánh Diều năm học 2020 - 2021 Đề số 5

Đề thi học kì 2 lớp 1 môn Toán sách Kết nối tri thức năm học 2020 - 2021 Đề số 4

Đề thi học kì 2 lớp 1 môn Toán sách Kết nối tri thức năm học 2020 - 2021 Đề số 5

Đề thi học kì 2 lớp 1 môn Toán sách Kết nối tri thức năm học 2020 - 2021 Đề số 2

Bộ đề thi học kì 2 lớp 1 môn Toán sách Kết nối tri thức năm học 2020 - 2021

Đề thi học kì 2 lớp 1 môn Toán sách Cánh Diều năm học 2020 - 2021 Đề số 3

Đề thi học kì 2 lớp 1 môn Toán sách Cánh Diều năm học 2020 - 2021 Đề số 4

Đề thi học kì 2 lớp 1 môn Toán sách Kết nối tri thức năm học 2020 - 2021 Đề số 1

Bộ đề thi học kì 2 lớp 1 môn Toán sách Cánh Diều năm học 2020 - 2021

Đề thi học kì 2 lớp 1 môn Toán sách Cánh Diều năm học 2020 - 2021 Đề số 1

Đề thi học kì 2 lớp 1 môn Toán sách Cánh Diều năm học 2020 - 2021 Đề số 2













