Lý thuyết Hình thang. Diện tích hình thang Toán lớp 5 trang 91, 93
GiaiToan xin giới thiệu tới các em bài Lý thuyết Hình thang. Diện tích hình thang. Bài học này bao gồm chi tiết các dạng Toán hình học theo cách giải chi tiết và các dạng bài tập tự luyện cho các em học sinh tham khảo, rèn luyện kỹ năng giải Toán 5, ôn tập chương 3 Toán 5. Dưới đây là nội dung chi tiết, các em tham khảo nhé.
Lý thuyết Toán lớp 5: Hình thang. Diện tích hình thang
1. Hình thang Toán 5
a) Cấu trúc

Hình thang ABCD có:
- Cạnh đáy AB và cạnh đáy DC. Cạnh bên AD và cạnh bên BC.
- Hai cạnh đáy là hai cạnh đối diện song song.
Hình thang có một cặp cạnh đối diện song song.
Chú ý: Hình thang có một cạnh bên vuông góc với hai đáy gọi là hình thang vuông.

b) Đường cao của hình thang

2. Diện tích hình thang
Quy tắc: Diện tích hình thang bằng tổng độ dài hai đáy nhân với chiều cao (cùng một đơn vị đo) rồi chia cho 2.

Ví dụ 1: Tính diện tích hình thang biết độ dài hai đáy lần lượt là 18cm và 14cm; chiều cao là 9cm.
Phương pháp giải: Độ dài hai đáy và chiều cao đã có cùng đơn vị đo nên để tính diện tích ta lấy tổng độ dài hai đáy nhân với chiều cao rồi chia cho 2.
Cách giải:
Diện tích hình thang đó là:

Ví dụ 2: Tính diện tích hình thang biết độ dài hai đáy lần lượt là 4m và 25dm; chiều cao là 32dm.
Phương pháp giải: Độ dài hai đáy và chiều cao chưa cùng đơn vị đo nên ta đổi về cùng đơn vị đó, 4m = 40dm, sau đó để tính diện tích ta lấy tổng độ dài hai đáy nhân với chiều cao rồi chia cho 2.
Cách giải:
Đổi 4m = 40dm
Diện tích hình thang đó là:

3. Một số dạng bài tập diện tích hình thang
Dạng 1: Tính diện tích hình thang khi biết độ dài hai đáy và chiều cao

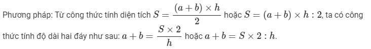
Dạng 2: Tính tổng độ dài hai đáy khi biết diện tích và chiều cao

Lưu ý: Đề bài thường cho hiệu của hai đáy hoặc tỉ số giữa hai đáy và yêu cầu tìm độ dài của mỗi đáy. Học sinh cần nhớ hai dạng toán tổng – hiệu và tổng – tỉ.
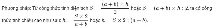
Dạng 3: Tính chiều cao khi biết diện tích và độ dài hai đáy

Dạng 4: Toán có lời văn
Phương pháp: Đọc kĩ đề bài, xác định dạng toán trong bài rồi giải bài toán đó.
4. Bài tập luyện tập Hình thang
- Giải Toán lớp 5 trang 91
- Giải Toán lớp 5 trang 93, 94
- Giải Toán lớp 5 trang 94 Luyện tập
- Giải Toán lớp 5 trang 95
>> Bài tiếp theo: Lý thuyết Hình tròn. Đường tròn. Chu vi hình tròn
Lý thuyết Hình thang. Diện tích hình thang được GiaiToan chia sẻ trên đây. Với bài tập chia sẻ trên đây kèm theo lời giải sẽ là tài liệu hữu ích cho các em củng cố kiến thức Toán lớp 5, qua đó rèn luyện kỹ năng giải bài tập hình thang, chuẩn bị tốt cho các bài kiểm tra sắp tới. Chúc các em học tốt, ngoài việc tham khảo tài liệu trên các em cũng có thể tham khảo thêm Lý thuyết Toán lớp 5, Giải Toán Lớp 5, Luyện Tập Toán Lớp 5, Vở Bài Tập Toán Lớp 5 được GiaiToan biên soạn nhé
Xem thêm bài viết khác

Thể tích hình lập phương

Thể tích hình hộp chữ nhật

Diện tích xung quanh và diện tích toàn phần của hình lập phương

Diện tích xung quanh và diện tích toàn phần của hình hộp chữ nhật

Lý thuyết Trừ số đo thời gian

Lý thuyết Cộng số đo thời gian

Lý thuyết Bảng đơn vị đo thời gian

Lý thuyết Thể tích của một hình. Xăng-ti-mét khối. Đề- xi-mét khối. Mét khối

Lý thuyết Chia một số thập phân cho một số thập phân

Chính sách về quyền riêng tư

Điều khoản dịch vụ

Lý thuyết Chia một số tự nhiên cho một số thập phân

Lý thuyết Chia một số tự nhiên cho một số tự nhiên mà thương tìm được là một số thập phân

Lý thuyết Chia một số thập phân cho 10, 100, 1000

Lý thuyết Chia một số thập phân cho một số tự nhiên

Lý thuyết Nhân một số thập phân với một số thập phân















