Lý thuyết Chia một số thập phân cho một số thập phân Toán lớp 5 trang 71
GiaiToan xin chia sẻ tới các em bài Lý thuyết Chia một số thập phân cho một số thập phân. Bài học hôm nay bao gồm các dạng Toán chia số thập phân kèm theo cách giải chi tiết và các dạng bài tập tự luyện cho các em học sinh tham khảo, rèn luyện kỹ năng giải Toán 5. Mời các em cùng tham khảo.
Lý thuyết Toán lớp 5: Chia một số thập phân cho một số thập phân
1. Chia một số thập phân cho một số thập phân Toán 5
Quy tắc: Muốn chia một số thập phân cho một số thập phân ta làm như sau:
- Đếm xem có bao nhiêu chữ số ở phần thập phân của số chia thì chuyển dấu phẩy ở số bị chia sang bên phải bấy nhiêu chữ số.
- Bỏ dấu phẩy ở số chia rồi thực hiện phép chia như chia cho số tự nhiên.
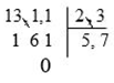
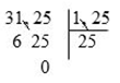
Ví dụ 1: Đặt tính rồi tính:
a) 13,11 : 2,3
b) 31,25 : 1,25
Cách giải:
a) Ta đặt tính rồi làm như sau:

+) Phần thập phân của số 2,3 (số chia) có một chữ số.
+) Dịch chuyển dấu phẩy của số 13,11 sang bên phải một chữ số ta được 131,1; bỏ dấu phẩy ở số 2,3 được 23.
+) Thực hiện phép chia 131,1 : 23.
Vậy 13,11:2,3 = 5,7
b) Ta đặt tính rồi làm như sau:

+) Phần thập phân của số 1,25 (số chia) có hai chữ số.
+) Dịch chuyển dấu phẩy của số 31,25 sang bên phải hai chữ số ta được 3125; bỏ dấu phẩy ở số 1,25 được 125.
+) Thực hiện phép chia 3125 : 125.
Vậy 31,25 : 1,25 = 25
Chú ý: Khi chuyển dấu phẩy sang phải mà không đủ chữ số, ta thấy thiếu bao nhiêu chữ số thì thêm vào đó bấy nhiêu chữ số 0
Ví dụ 2: Một thanh sắt dài 6,2dm cân nặng 23,56 kg. Hỏi 1dm của thanh sắt đó cân nặng bao nhiêu ki-lô-gam?
Ta phải thực hiện phép chia: 23,56 : 62 = ?
Ta có: 23,56 : 6,2 = (23,56 x 10) : (6,2 x 10)
23,56 : 6,2 = 235,6 : 62
Thông thường ta đặt tính rồi làm như sau:

Phần thập phân của số 6,2 có một chữ số.
Chuyển dấu phẩy của số 23,56 sang bên phải một chữ số được 235,6; bỏ dấu phẩy ở số 6,2 được 62.
Thực hiện phép chia 235,6 : 62
Vậy 23,56 : 6,2 = 3,8 (kg)
Ví dụ 3: 82,55 : 1,27 = ?
Ta đặt tính rồi làm như sau:

Phần thập phân của hai số 82,55 và 1,27 cùng có hai chữ số; bỏ dấu phẩy ở hai số đó được 8255 và 127
Thực hiện phép chia 8255 : 127
Muốn chia một số thập phân cho một số thập phân ta làm như sau:
- Đếm xem có bao nhiêu chữ số ở phần thập phân của số chia thì chuyển dấu phẩy ở số bị chia sang bên phải bấy nhiêu chữ số.
- Bỏ dấu phẩy ở số chia rồi thực hiện phép chia như chia số tự nhiên.
2. Chia một số thập phân cho 0,1; 0,01; 0,001; …
Ví dụ: Đặt tính rồi tính:
a) 3,75 : 0,1
b) 12,41 : 0,01
Cách giải

Nhận xét: Nếu chuyển dấu phẩy của số 3,75 sang bên phải một chữ số ta cũng được 37,5.

Nhận xét: Nếu chuyển dấu phẩy của số 12,41 sang bên phải hai chữ số ta cũng được 1241.
Quy tắc: Muốn chia một số thập phân cho 0,1; ,0,01; 0,001;... ta chỉ việc chuyển dấu phẩy của số đó lần lượt sang bên phải một, hai, ba, … chữ số.
Nhận xét: Khi chia một số thập phân cho 0,1; 0,01; 0,001;... ta được kết quả bằng với việc nhân số thập phân đó với 10; ,100; 1000;…
3. Giải bài tập Chia một số thập phân cho một số thập phân
>> Bài tiếp theo: Lý thuyết Tỉ số phần trăm. Các phép tính với tỉ số phần trăm
Lý thuyết Chia một số thập phân cho một số thập phân được GiaiToan chia sẻ trên đây. Hy vọng với tài liệu này sẽ giúp ích cho các em nắm chắc nội dung của bài đồng thời rèn luyện, ôn tập kỹ năng giải bài Toán lớp 5: Chia một số thập phân cho một số thập phân. Chúc các em học tốt, ngoài việc tham khảo tài liệu trên các em cũng có thể tham khảo thêm Lý thuyết Toán lớp 5, Giải Toán Lớp 5, Luyện Tập Toán Lớp 5, Vở Bài Tập Toán Lớp 5 được GiaiToan biên soạn nhé
Xem thêm bài viết khác

Diện tích xung quanh và diện tích toàn phần của hình lập phương

Diện tích xung quanh và diện tích toàn phần của hình hộp chữ nhật

Lý thuyết Thể tích của một hình. Xăng-ti-mét khối. Đề- xi-mét khối. Mét khối

Lý thuyết Hình hộp chữ nhật. Hình lập phương

Lý thuyết Luyện tập về diện tích các hình lớp 5

Lý thuyết Diện tích hình tròn

Lý thuyết Hình tròn. Đường tròn. Chu vi hình tròn

Lý thuyết Hình thang. Diện tích hình thang

Lý thuyết Hình tam giác. Diện tích hình tam giác

Lý thuyết Nhân một số thập phân với một số thập phân

Lý thuyết Nhân một số thập phân với 10, 100, 1000

Lý thuyết Nhân một số thập phân với một số tự nhiên

Lý thuyết Phép trừ hai số thập phân

Lý thuyết Cộng hai số thập phân. Tổng nhiều số thập phân

Lý thuyết Viết các số đo diện tích dưới dạng số thập phân

Lý thuyết Viết các số đo khối lượng dưới dạng số thập phân

Lý thuyết Viết các số đo độ dài dưới dạng số thập phân

Lý thuyết Số thập phân bằng nhau. So sánh hai số thập phân

















