Lý thuyết Hình tam giác. Diện tích hình tam giác Toán lớp 5 trang 85, 87
Lý thuyết Hình tam giác. Diện tích hình tam giác được GiaiToan sưu tầm và đăng tải. Bài học hôm nay bao gồm các dạng toán về hình học cùng với cách giải chi tiết kèm theo bài tập tự luyện, giúp các em học sinh rèn luyện kỹ năng giải Toán 5, ôn tập chương 3 Toán 5. Mời các em cùng tìm hiểu chi tiết.
Lý thuyết Toán lớp 5: Hình tam giác. Diện tích hình tam giác
1. Hình tam giác Toán 5
a) Cấu trúc

b) Các loại hình tam giác

c) Cách xác định đáy và đường cao của hình tam giác

Chú ý: Trong hình tam giác, độ dài đoạn thẳng từ đỉnh vuông góc với đáy tương ứng gọi là chiều cao của hình tam giác
2. Lý thuyết Toán 5 Diện tích hình tam giác
Quy tắc: Muốn tính diện tích hình tam giác ta lấy độ dài đáy nhân với chiều cao (cùng một đơn vị đo) rồi chia cho 2.

Chú ý: Muốn tính diện tích tam giác vuông ta lấy độ dài hai cạnh góc vuông nhân với nhau (cùng một đơn vị đo) rồi chia cho 2.
Ví dụ 1: Tính diện tích hình tam giác có độ dài đáy là 13cm và chiều cao là 8cm.
Phương pháp giải: Độ dài đáy và chiều cao đã có cùng đơn vị đo nên để tính diện tích ta lấy độ dài đáy nhân với chiều cao rồi chia cho 2.
Cách giải:
Diện tích hình tam giác đó là:
13 x 8 : 2 = 52 cm2
Đáp số: 52cm2.
Ví dụ 2: Tính diện tích hình tam giác có độ dài đáy là 2m và chiều cao là 15dm.
Phương pháp giải: Độ dài đáy và chiều cao chưa cùng đơn vị đo nên ta đổi về cùng đơn vị đo, 2m = 20dm, sau đó tính diện tích ta lấy độ dài đáy nhân với chiều cao rồi chia cho 2
Cách giải:
Đổi 2m = 20dm
Diện tích hình tam giác đó là:
20 x15 : 2 = 150 dm2
Đáp số: 150 dm2
3. Một số dạng bài tập
Dạng 1: Tính diện tích tam giác khi biết độ dài đáy và chiều cao

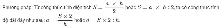
Dạng 2: Tính độ dài đáy khi biết diện tích và chiều cao

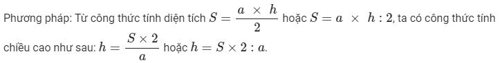
Dạng 3: Tính chiều cao khi biết diện tích và độ dài đáy

Dạng 4: Toán có lời văn
Phương pháp: Đọc kĩ đề bài, xác định dạng toán trong bài rồi giải bài toán đó.
4. Bài tập luyện tập Hình tam giác
- Giải Toán lớp 5 trang 86
- Giải Toán lớp 5 trang 88
- Giải Toán lớp 5 trang 88 Luyện tập
- Giải Toán lớp 5 trang 89
>> Bài tiếp theo: Lý thuyết Hình thang. Diện tích hình thang
Lý thuyết Hình tam giác. Diện tích hình tam giác được GiaiToan chia sẻ trên đây. Hy vọng với tài liệu này sẽ giúp ích cho các em ôn tập, rèn luyện kỹ năng giải bài toán hình tam giác và diện tích hình tam giác. Chúc các em học tốt, ngoài việc tham khảo tài liệu trên các em cũng có thể tham khảo thêm Lý thuyết Toán lớp 5, Giải Toán Lớp 5, Luyện Tập Toán Lớp 5, Vở Bài Tập Toán Lớp 5 được GiaiToan biên soạn nhé
Xem thêm bài viết khác

Thể tích hình lập phương

Thể tích hình hộp chữ nhật

Diện tích xung quanh và diện tích toàn phần của hình lập phương

Diện tích xung quanh và diện tích toàn phần của hình hộp chữ nhật

Lý thuyết Cộng số đo thời gian

Lý thuyết Bảng đơn vị đo thời gian

Lý thuyết Thể tích của một hình. Xăng-ti-mét khối. Đề- xi-mét khối. Mét khối

Lý thuyết Hình hộp chữ nhật. Hình lập phương

Lý thuyết Chia một số thập phân cho một số thập phân

Chính sách về quyền riêng tư

Điều khoản dịch vụ

Lý thuyết Chia một số tự nhiên cho một số thập phân

Lý thuyết Chia một số tự nhiên cho một số tự nhiên mà thương tìm được là một số thập phân

Lý thuyết Chia một số thập phân cho 10, 100, 1000

Lý thuyết Chia một số thập phân cho một số tự nhiên

Lý thuyết Nhân một số thập phân với một số thập phân















