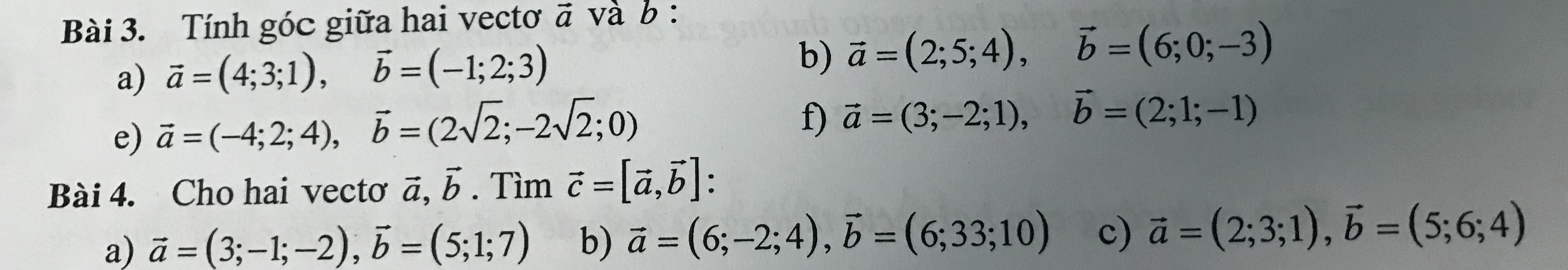
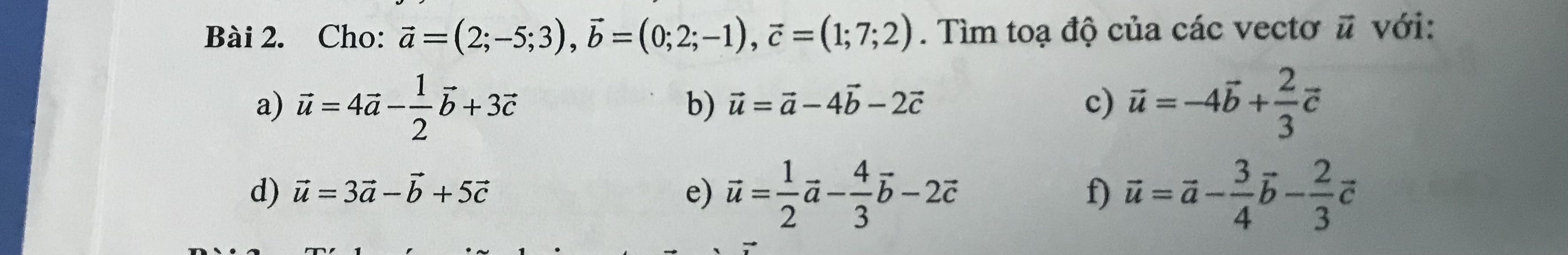
-
sumin kim Hỏi bài Thích Bình luận

-
Lọthikien Hỏi bài 1Thích Bình luận -
Hoangtunganh Hỏi bài 33 1 câu trả lờiThích Bình luận -
Nguyễn Thị Thủy Hỏi bài Thích Bình luận
-
Vũ Hàm Dư Hỏi bài Thích Bình luận
-
Kien Nguyen Trung Hỏi bài
1Thích Bình luận -
Kien Nguyen Trung Hỏi bài Thích Bình luận
-
Ngọc Sơn Hỏi bài Thích Bình luận -
Ấn Phan Văn Hỏi bài
2Thích Bình luận -
Nguyen Ba Quyet Thang Hỏi bài
1Thích Bình luận -
Vũ Thị Kim Liên Hỏi bài 1 1 câu trả lờiThích Bình luận -
Vũ Thị Kim Liên Hỏi bài Thích Bình luận
Gợi ý cho bạn
-

Bài tập cuối tuần lớp 2 môn Toán Chân trời sáng tạo - Tuần 16
Phiếu bài tập cuối tuần lớp 2 -
Cách chứng minh hình chữ nhật
Bài tập Toán 8 -
Giải Toán lớp 6 Bài 1 Phân số với tử và mẫu là số nguyên
Giải Toán lớp 6 tập 2 sách Cánh Diều -
Bài 5.10 Trang 118 Toán 11 Tập 1 sách Kết nối tri thức
Bài 16: Giới hạn của hàm số -
Đề thi giữa học kì 2 môn Toán lớp 4 năm học 2020 - 2021 - Đề số 2
Đề kiểm tra giữa học kì 2 lớp 4 theo thông tư 22 -
Tìm giá trị x để A nhận giá trị nguyên
Luyện thi vào lớp 10 -
Bài 7.11 trang 30 Toán 7 tập 2 SGK Kết nối tri thức với cuộc sống
Giải Toán 7 Kết nối tri thức -
Giải Toán lớp 2 bài 6: Luyện tập chung sách Kết nối tri thức với cuộc sống
Giải Toán lớp 2 tập 1 sách Kết nối tri thức với cuộc sống -
Bài tập cuối tuần lớp 4 môn Toán - Tuần 29
Phiếu bài tập cuối tuần lớp 4 -
Bài 8.16 trang 56 Toán 6 tập 2 SGK Kết nối tri thức với cuộc sống
Giải Toán 6 Tập 2






