Xóa Đăng nhập để viết
4 Câu trả lời
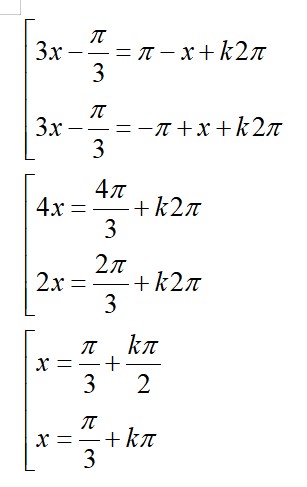
-
Bờm Trả lời hay17 Trả lời · 20/09/22 -
Biết Tuốt Trả lời hay1 Trả lời · 20/09/22 -
Đen20170 Trả lời · 20/09/22 -
Nguyễn Thị Thanh Nhàn0 Trả lời · 20/09/22
Hỏi bài
6.21
Ngày hỏi: 2 ngày trướcCho biết sina = 2/3. Tính cosa, tana, cota
Ngày hỏi: 3 ngày trước 2 câu trả lờiCách chia đa thức cho đơn thức
Ngày hỏi: 10:58 31/12Sân vườn nhà bạn An hình chữ nhật có chiều rộng 4 m, chiều dài 12 m. Bố Lan thiết kế hai bồn hoa hình thoi kích thước như nhau (như hình vẽ), bên trong bồn hoa trồng hoa hồng, bên ngoài trồng cỏ.
a) Tính chu vi và diện tích sân vườn.
b) Biết mỗi mét vuông cần 4 cây hồng. Tính số cây hồng bố An cần chuẩn bị để trồng đủ vào hai bồn cây.
c) Chi phí trồng cỏ là 55 000 đồng một mét vuông, chi phí mua và trồng một cây hoa hồng là 7 000 đồng. Hỏi bố An cần bao nhiêu tiền để hoàn thiện sân vườn?
Ngày hỏi: 08:03 29/12 3 câu trả lời
