Toán 10 bài 3: Hàm số bậc hai Giải bài tập Toán 10 SGK
Giải Toán 10 bài 3 Hàm số bậc hai
GiaiToan.com xin gửi tới bạn đọc bài viết Toán 10 bài 3: Hàm số bậc hai để bạn đọc cùng tham khảo. Bài viết tổng hợp lời giải của các bài tập trong sách giáo khoa Toán 10 bài hàm số bậc hai. Mong rằng qua bài viết này bạn đọc có thêm nhiều tài liệu để học tập nhé.
Trả lời câu hỏi Toán 10 Bài 3 trang 42
Nhắc lại các kết quả đã biết về đồ thị của hàm số y = ax 2.
Lời giải
Đồ thị hàm số y = ax2 là một parabol:
+ Nằm phía trên trục hoành nếu a > 0 và nhận điểm O(0;0) làm điểm thấp nhất.
+ Nằm phía dưới trục hoành nếu a < 0 và nhận điểm O(0;0) làm điểm cao nhất.
Trả lời câu hỏi Toán 10 Bài 3 trang 45
Vẽ parabol y = -2x^2 + x + 3.
Lời giải
Đỉnh I(1/4; 25/8)
Trục đối xứng là đường thẳng x = 1/4
Giao điểm với trục Oy là điểm (0;3)
Giao điểm với trục Ox là điểm (3/2;0) và (-1;0)

Bài 1 trang 49 SGK Toán 10
Xác định tọa độ của đỉnh và các giao điểm với trục tung, trục hoành (nếu có) của một parabol:
a) y = x2 - 3x + 2 ;
b) y = -2x2 + 4x - 3;
c) y = x2 - 2x ;
d) y = -x2 + 4.
Lời giải
a) y = x2 – 3x + 2 có a = 1 ; b = –3 ; c = 2 ; Δ = b2 – 4ac = (–3)2 – 4.2.1 = 1.
+ Đỉnh của Parabol là (3/2; -1/4)
+ Khi x = 0 thì y = 2. Vậy giao điểm với trục tung là A(0 ; 2).
+ Khi y = 0 thì x2 – 3x + 2 = 0. Phương trình có hai nghiệm x = 2 hoặc x = 1.
Vậy giao điểm với trục hoành là B(2 ; 0) và C(1 ; 0).
b) y = –2x2 + 4x – 3 có a = –2 ; b = 4 ; c = –3 ; Δ= b2 – 4ac = 42 – 4.( –3).( –2) = –8
+ Đỉnh của Parabol là (1 ; –1).
+ Khi x = 0 thì y = –3. Vậy giao điểm với trục tung là A(0 ; –3).
+ Khi y = 0 thì –2x2 + 4x – 3 = 0. Phương trình vô nghiệm.
Vậy Parabol không cắt trục hoành.
c) y = x2 – 2x có a = 1 ; b = –2 ; c = 0 ; Δ= b2 – 4ac = 4.
+ Đỉnh của Parabol là (1 ; –1).
+ Khi x = 0 thì y = 0. Vậy giao điểm với trục tung là O(0 ; 0).
+ Khi y = 0 thì x2 – 2x = 0. Phương trình có hai nghiệm x = 0 hoặc x = 2.
Vậy Parabol cắt trục hoành tại hai điểm O(0 ; 0) và A(2 ; 0).
d) y = –x2 + 4 có a = –1 ; b = 0 ; c = 4 ; Δ= b2 – 4ac = 0 – 4.( –1).4 = 16.
+ Đỉnh của Parabol là (0 ; 4).
+ Khi x = 0 thì y = 4. Vậy giao điểm với trục tung là A(0 ; 4).
+ Khi y = 0 thì –x2 + 4 = 0. Phương trình có hai nghiệm x = 2 hoặc x = –2.
Vậy Parabol cắt trục hoành tại hai điểm B(2 ; 0) hoặc C(–2 ;0).
Bài 2 trang 49 SGK Toán 10
Lập bảng biến thiên và vẽ đồ thị của các hàm số:
a) y = 3x2 - 4x + 1 ; b) y = -3x2 + 2x - 1
c) y = 4x2 - 4x + 1 ; d) y = -x2 + 4x - 4
e) y = 2x2 + x + 1 ; f) y = -x2 + x - 1
Lời giải:
a) y = 3x2 – 4x + 1.
+ Tập xác định: R.
+ Đỉnh A(2/3 ; –1/3).
+ Trục đối xứng x = 2/3.
+ Giao điểm với Ox tại B(1/3 ; 0) và C(1 ; 0).
+ Giao điểm với Oy tại D(0 ; 1).
+ Bảng biến thiên:

+ Đồ thị hàm số:

b) y = –3x2 + 2x – 1.
+ Tập xác định: R
+ Đỉnh A(1/3 ; –2/3).
+ Trục đối xứng x = 1/3.
+ Đồ thị không giao với trục hoành.
+ Giao điểm với trục tung là B(0; –1).
Điểm đối xứng với B(0 ; –1) qua đường thẳng x = 1/3 là C(2/3 ; –1).
+ Bảng biến thiên:

+ Đồ thị hàm số:

c) y = 4x2 – 4x + 1.
+ Tập xác định : R
+ Đỉnh A(1/2; 0).
+ Trục đối xứng x = 1/2.
+ Giao điểm với trục hoành tại đỉnh A.
+ Giao điểm với trục tung B(0; 1).
Điểm đối xứng với B(0;1) qua đường thẳng x = 1/2 là C(1; 1).
+ Bảng biến thiên:
 + Đồ thị hàm số:
+ Đồ thị hàm số:

d) y = –x2 + 4x – 4.
+ Tập xác định: R
+ Đỉnh: I (2; 0)
+ Trục đối xứng: x = 2.
+ Giao điểm với trục hoành: A(2; 0).
+ Giao điểm với trục tung: B(0; –4).
Điểm đối xứng với điểm B(0; –4) qua đường thẳng x = 2 là C(4; –4).
+ Bảng biến thiên:

+ Đồ thị hàm số:

e) y = 2x2 + x + 1
+ Tập xác định: R
+ Đỉnh A(–1/4 ; 7/8).
+ Trục đối xứng x = –1/4.
+ Đồ thị không giao với trục hoành.
+ Giao điểm với trục tung B(0; 1).
Điểm đối xứng với B(0 ; 1) qua đường thẳng x = –1/4 là C(–1/2 ; 1)
+ Bảng biến thiên:

+ Đồ thị hàm số:

f) y = –x2 + x – 1
+ Tập xác định R
+ Đỉnh A(1/2 ; –3/4).
+ Trục đối xứng x = 1/2.
+ Đồ thị không giao với trục hoành.
+ Giao điểm với trục tung: B(0; –1).
Điểm đối xứng với B(0 ; –1) qua đường thẳng x = 1/2 là C(1 ; –1).
+ Bảng biến thiên:

+ Đồ thị hàm số:

Bài 3 trang 49 SGK Toán 10
Xác định parabol y = ax2 + bx + 2, biết rằng parabol đó:
a) Đi qua hai điểm M(1; 5) và N(-2; 8);
b) Đi qua hai điểm A(3; -4) và có trục đối xứng là x = -3/2;
c) Có đỉnh là I(2; -2);
d) Đi qua điểm B(-1; 6) và tung độ của đỉnh là -1/4.
Lời giải:
a)
+ Parabol y = ax2 + bx + 2 đi qua M(1 ; 5)
⇒ 5 = a.12 + b.1 + 2 ⇒ a + b = 3 (1) .
+ Parabol y = ax2 + bx + 2 đi qua N(–2; 8)
⇒ 8 = a.( –2)2 + b.( –2) + 2 ⇒ 4a – 2b = 6 (2).
Từ (1) và (2) suy ra: a = 2; b = 1.
Vậy parabol cần tìm là y = 2x2 + x + 2.
b) + Parabol y = ax2 + bx + 2 có trục đối xứng x = –3/2
⇒ –b/2a = –3/2 ⇒ b = 3a (1)
+ Parabol y = ax2 + bx + 2 đi qua điểm A(3; –4)
⇒ –4 = a.32 + b.3 + 2 ⇒ 9a + 3b = –6 (2).
Thay b = 3a ở (1) vào biểu thức (2) ta được:
9a + 3.3a = –6 ⇒ 18a = –6 ⇒ a = –1/3 ⇒ b = –1.
Vậy parabol cần tìm là y = –1/3x2 – x + 2.
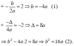
c) Parabol y = ax2 + bx + 2 có đỉnh I(2 ; –2), suy ra:

Từ (1) ⇒ b2 = 16.a2, thay vào (2) ta được 16a2 = 16a ⇒ a = 1 ⇒ b = –4.
Vậy parabol cần tìm là y = x2 – 4x + 2.
d) + Parabol y = ax2 + bx + 2 đi qua điểm B(–1 ; 6)
⇒ 6 = a.( –1)2 + b.( –1) + 2 ⇒ a = b + 4 (1)
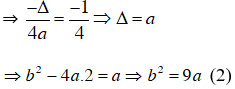
+ Parabol y = ax2 + bx + 2 có tung độ của đỉnh là –1/4

Thay (1) vào (2) ta được: b2 = 9.(b + 4) ⇔ b2 – 9b – 36 = 0.
Phương trình có hai nghiệm b = 12 hoặc b = –3.
Với b = 12 thì a = 16.
Với b = –3 thì a = 1.
Vậy có hai parabol thỏa mãn là y = 16x2 + 12b + 2 và y = x2 – 3x + 2.
Bài 4 trang 50 SGK Đại số 10
Xác định a, b, c biết parabol y = ax2 + bx + c đi qua điểm A(8 ; 0) và có đỉnh là I(6 ; -12).
Lời giải:
+ Parabol y = ax2 + bx + c đi qua điểm A (8; 0)
⇒ 0 = a.82 + b.8 + c ⇒ 64a + 8b + c = 0 (1).
+ Parabol y = ax2 + bx + c có đỉnh là I (6 ; –12) suy ra:
–b/2a = 6 ⇒ b = –12a (2).
–Δ/4a = –12 ⇒ Δ = 48a ⇒ b2 – 4ac = 48a (3) .
Thay (2) vào (1) ta có: 64a – 96a + c = 0 ⇒ c = 32a.
Thay b = –12a và c = 32a vào (3) ta được:
(–12a)2 – 4a.32a = 48a
⇒ 144a2 – 128a2 = 48a
⇒ 16a2 = 48a
⇒ a = 3 (vì a ≠ 0).
Từ a = 3 ⇒ b = –36 và c = 96.
Vậy a = 3; b = –36 và c = 96.
GiaiToan.com vừa gửi tới bạn đọc bài viết Toán 10 bài 3: Hàm số bậc hai. Chắc hẳn qua bài viết này các bạn đã có thể giải được các bài tập trong sách giáo khoa Toán 10 rồi đúng không ạ? Bài viết tổng hợp lời giải từ câu 1 đến câu 4 trong sách giáo khoa Toán bài hàm số bậc hai. Hi vọng qua bài viết này bạn đọc có thể học tập tốt hơn môn Toán lớp 10 nhé. Chúc các bạn học tập thật tốt.
- Lượt xem: 51

 
 