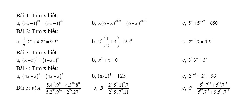
-
Dương Thuỳ Hỏi bài Thích Bình luận 
-
Dương Thuỳ Hỏi bài Thích Bình luận -
Ngô Phạm Minh Toàn Hỏi bài Thích Bình luận -
Thăngtrân Hỏi bài Thích Bình luận -
Hải Lâm Hỏi bài Thích Bình luận -
Vang Nguyen Hỏi bài Thích Bình luận -
Bích Lê Hỏi bài Thích Bình luận -
MV Gaming Hỏi bài Thích Bình luận -
tin Phan Van Hỏi bài Thích Bình luận -
tin Phan Van Hỏi bài Thích Bình luận -
Kim Chi Hỏi bài Thích Bình luận -
congdz Hỏi bài Thích Bình luận
Gợi ý cho bạn
-
Tìm x để A > 2
Chuyên đề Toán 9 thi vào 10 -
Đề thi học kì 1 Toán 7 Đề 1
Đề thi cuối kì 1 Toán 7 -
Bài 3 trang 98 Toán lớp 2 tập 2 SGK Kết nối tri thức với cuộc sống
Giải Toán lớp 2 tập 2 -
Luyện tập 2 trang 33 Toán 6 tập 2 SGK Cánh Diều
Giải Toán 6 Tập 2 -

Trắc nghiệm Ôn tập một số yếu tố thống kê và xác suất Chân trời sáng tạo
Trắc nghiệm Toán lớp 5 -
Bài 3 trang 73 Toán 6 tập 2 SGK Chân trời sáng tạo
Giải Toán 6 tập 2 -
Giải bài toán bằng cách lập phương trình lớp 8 Toán phần trăm
Giải bài toán bằng cách lập phương trình -
Bài 1 trang 48 Toán 6 tập 2 SGK Chân trời sáng tạo
Giải Toán 6 tập 2 -
Luyện tập Ước lượng sách Chân trời sáng tạo
Bài tập Toán lớp 2 -

Bài tập cuối tuần Toán lớp 4 Kết nối tri thức - Tuần 17
Bài tập cuối tuần Toán lớp 4





