Toán lớp 4 Trang 83, 84, 85 Bài 62: Luyện tập chung Sách Kết nối tri thức Tập 2
Bài 62: Luyện tập chung
Toán 4 Kết nối tri thức Tập 2 Bài 62: Luyện tập chung được GiaiToan biên soạn với hướng dẫn chi tiết lời giải giúp các em học sinh tham khảo, ôn tập, củng cố kỹ năng giải Toán lớp 4. Mời các em học sinh cùng tham khảo chi tiết.
A. Luyện tập 1 Trang 83 Toán lớp 4
1. Bài 1 Trang 83 Toán lớp 4
Tính.
a) b) | c) d) |
Hướng dẫn:
Muốn cộng hai phân số khác mẫu số, ta quy đồng mẫu số hai phân số rồi cộng hai phân số đó.
Muốn trừ hai phân số khác mẫu số, ta quy đồng mấu số hai phân số rồi trừ hai phân số đó.
Lời giải chi tiết:
a) ![]()
b) ![]()
c) ![]()
d) ![]()
2. Bài 2 Trang 83 Toán lớp 4
Tìm phân số thích hợp.

Hướng dẫn:
Muốn cộng hai phân số khác mẫu số, ta quy đồng mẫu số hai phân số rồi cộng hai phân số đó.
Muốn trừ hai phân số khác mẫu số, ta quy đồng mấu số hai phân số rồi trừ hai phân số đó.
Lời giải chi tiết:
Ta có: ![]()
![]()
![]()
![]()

3. Bài 3 Trang 83 Toán lớp 4
Tính bằng cách thuận tiện.
a) ![]()
b) ![]()
Hướng dẫn:
Vận dụng tính chất kết hợp của phép cộng: (a + b) + c = a + (b + c)
Muốn cộng hai phân số khác mẫu số, ta quy đồng mẫu số hai phân số rồi cộng hai phân số đó.
Lời giải chi tiết:
a) ![]()
![]()
![]()
b) ![]()
![]()
![]()
4. Bài 4 Trang 83 Toán lớp 4
Anh A Phan, chị Rang Hu và chú Ý Phui cùng thu hoạch một rẫy cà phê. Anh A Phan thu hoạch được
rẫy, chị Rang Hu thu hoạch được
rẫy, chú Y Phui thu hoạch được
rẫy. Hỏi cả ba người thu hoạch được bao nhiêu phần của rẫy cà phê?

Hướng dẫn:
Muốn cộng hai phân số khác mẫu số, ta quy đồng mẫu số hai phân số rồi cộng hai phân số đó.
Lời giải chi tiết:
Bài giải
Cả ba người thu hoạch được số phần của rẫy cà phê là:
(rẫy cà phê)
Đáp số:
rẫy cà phê.
B. Luyện tập 2 Trang 84 Toán lớp 4
1. Bài 1 Trang 84 Toán lớp 4
Đ, S?

Hướng dẫn:
Muốn cộng hai phân số khác mẫu số, ta quy đồng mẫu số hai phân số rồi cộng hai phân số đó.
Muốn trừ hai phân số khác mẫu số, ta quy đồng mấu số hai phân số rồi trừ hai phân số đó.
Lời giải chi tiết:
a) ![]()
b) ![]()
c) ![]()
d) ![]()

2. Bài 2 Trang 84 Toán lớp 4
Rút gọn rồi tính.
a) b) | c) d) |
Hướng dẫn:
Rút gọn các phân số thành các phân số tối giản và thực hiện phép tính.
Muốn cộng hai phân số khác mẫu số, ta quy đồng mẫu số hai phân số rồi cộng hai phân số đó.
Muốn trừ hai phân số khác mẫu số, ta quy đồng mấu số hai phân số rồi trừ hai phân số đó.
Lời giải chi tiết:
a) ![]()
b) ![]()
c) ![]()
d) ![]()
3. Bài 3 Trang 84 Toán lớp 4
Một xe ô tô chạy được
quãng đường trong giờ đầu tiên. Giờ tiếp theo, ô tô chạy thêm được
quãng đường. Hỏi sau hai giờ, ô tô chạy được mấy phần của quãng đường?
Hướng dẫn:
Tính tổng số phần quãng đường ô tô chạy được trong hai giờ.
Muốn cộng hai phân số cùng mẫu số, ta cộng các tử số và giữ nguyên mẫu số.
Lời giải chi tiết:
Bài giải
Sau hai giờ, ô tô chạy được số phần của quãng đường là:
(quãng đường)
Đáp số:
quãng đường
4. Bài 4 Trang 84 Toán lớp 4
Một cây gỗ dài
m. Rô-bốt cưa cây gỗ đó thành ba khúc. Biết rằng khúc gỗ thứ nhất dài
m, khúc gỗ thứ hai dài
m. Tính chiều dài của khúc gỗ còn lại.
Hướng dẫn:
Chiều dài khúc gỗ còn lại = Chiều dài ban đầu - Chiều dài khúc gỗ 1 - Chiều dài khúc gỗ 2
Muốn trừ hai phân số khác mẫu số, ta quy đồng mấu số hai phân số rồi trừ hai phân số đó.
Lời giải chi tiết:
Bài giải
Chiều dài của khúc gỗ còn lại là:
(m)
Đáp số:
m.
C. Luyện tập 3 Trang 84, 85 Toán lớp 4
1. Bài 1 Trang 84 Toán lớp 4
Tính (theo mẫu).
![]()
a) b) | c) d) |
Hướng dẫn:
Muốn cộng hai phân số khác mẫu số, ta quy đồng mẫu số hai phân số rồi cộng hai phân số đó.
Muốn trừ hai phân số khác mẫu số, ta quy đồng mấu số hai phân số rồi trừ hai phân số đó.
Lời giải chi tiết:
a) ![]()
b) ![]()
c) ![]()
d) ![]()
2. Bài 2 Trang 85 Toán lớp 4
Tìm phân số thích hợp.

Hướng dẫn:
Muốn cộng hai phân số khác mẫu số, ta quy đồng mẫu số hai phân số rồi cộng hai phân số đó.
Muốn trừ hai phân số khác mẫu số, ta quy đồng mấu số hai phân số rồi trừ hai phân số đó.
Lời giải chi tiết:
a) Ta có: ![]()
![]()
b) Ta có: ![]()
![]()

3. Bài 3 Trang 85 Toán lớp 4
Rô-bốt còn
chai nước giặt. Rô-bốt quyết định sử dụng
chai nước giặt để giặt chăn, rồi dùng thêm
chai nước giặt để giặt quần áo. Hỏi khi ấy chai nước giặt còn lại mấy phần?

Hướng dẫn:
Bước 1: Tính số phần nước giặt đã dùng
Bước 2: Tính số phần nước giặt còn lại.
Muốn cộng hai phân số khác mẫu số, ta quy đồng mẫu số hai phân số rồi cộng hai phân số đó.
Muốn trừ hai phân số khác mẫu số, ta quy đồng mấu số hai phân số rồi trừ hai phân số đó.
Lời giải chi tiết:
Bài giải
Rô-bốt đã dùng số phần chai nước giặt là:
(chai nước giặt)
Khi ấy chai nước giặt còn lại số phần là:
(chai nước giặt)
Đáp số:
phần
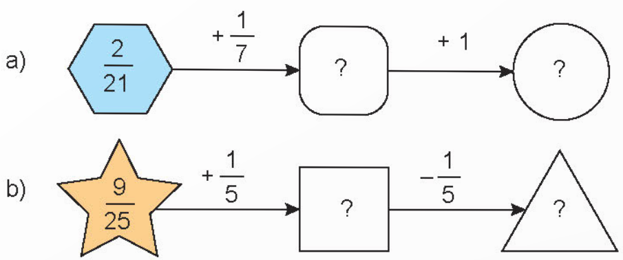
4. Bài 4 Trang 85 Toán lớp 4
Tìm phân số thích hợp.

Hướng dẫn:
Quan sát hình vẽ và tìm phân số thích hợp.
Muốn cộng hai phân số khác mẫu số, ta quy đồng mẫu số hai phân số rồi cộng hai phân số đó.
Muốn trừ hai phân số khác mẫu số, ta quy đồng mấu số hai phân số rồi trừ hai phân số đó.
Lời giải chi tiết:
a) Phân số cần tìm là: ![]()
b) Phân số cần tìm là: ![]()
---> Bài tiếp theo: Toán lớp 4 Trang 86, 87, 88, 89, 90 Bài 63: Phép nhân phân số
-----------------------------------------------------------
Trên đây là lời giải chi tiết cho các bài tập của bài Toán 4 Kết nối tri thức Tập 2 Bài 62: Luyện tập chung dành cho các em học sinh tham khảo, nắm được cách giải các dạng toán Chủ đề 11: Phép cộng, phép trừ phân số SGK Toán lớp 4 Kết nối tri thức. Qua đó giúp các em học sinh ôn tập nắm chắc kiến thức cơ bản môn Toán lớp 4 và hỗ trợ các em học sinh trong các kì thi trong năm học lớp 4. Ngoài ra Giaitoan mời thầy cô và học sinh tham khảo thêm một số tài liệu liên quan: Đề thi giữa kì 2, Đề thi học kì 2, ....Chúc các em học tốt.
