Vở bài tập Toán lớp 5 bài 65: Chia một số thập phân cho 10, 100, 1000 Vở bài tập Toán lớp 5 tập 1 trang 80, 81
Vở bài tập Toán lớp 5 bài 65: Chia một số thập phân cho 10, 100, 1000 tập 1 trang 80, 81 được GiaiToan sưu tầm và đăng tải. Hướng dẫn các em trả lời các câu hỏi trong bài giúp các em học sinh rèn kỹ năng giải Toán các dạng bài tập chia số thập phân cho 10, 100, 1000. Dưới đây là nội dung chi tiết, các em tham khảo nhé
Vở bài tập Toán lớp 5 trang 80
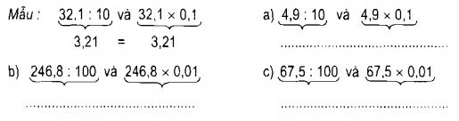
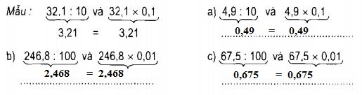
1. Vở bài tập Toán lớp 5 tập 1 trang 80 - Câu 1
Tính nhẩm rồi so sánh kết quả (theo mẫu)

Phương pháp giải
- Muốn chia một số thập phân cho 10; 100; 1000;... ta chỉ việc chuyển dấu phẩy của số đó lần lượt sang bên trái một, hai, ba, ... chữ số.
- Khi nhân một số thập phân với 0,1; 0,01; 0,001;... ta chỉ việc chuyển dấu phẩy của số đó lần lượt sang bên trái một, hai, ba, ... chữ số.
Đáp án và hướng dẫn giải

2. Vở bài tập Toán lớp 5 tập 1 trang 80 - Câu 2
Tính
a, 300 + 20 + 0,08
b, 25 + 0,6 + 0,07
c, 600 + 30 + ![]()
d, 66 +
+ ![]()
Phương pháp giải
Quy đổi các phân số ra số thập phân, thực hiện phép tính cộng từ trái sang phải
Đáp án và hướng dẫn giải
a, 300 + 20 + 0,08 = 320,08
b, 25 + 0,6 + 0,07 = 25,67
c, 600 + 30 +
= 600 + 30 + 0,06 = 630,06
d, 66 +
+
= 66 + 0,9 + 0,04 = 66,94
3. Vở bài tập Toán lớp 5 tập 1 trang 80 - Câu 3
Một kho gạo có 246,7 tấn gạo. Người ta đã chuyển thêm vào kho một số gạo bằng
số gạo hiện có trong kho. Hỏi sau khi chuyển trong kho có tất cả bao nhiêu ki-lô-gam gạo?
Tóm tắt:
Có: 246,7 tấn gạo
Chuyển thêm số gạo bằng
số gạo hiện có trong kho
Sau khi chuyển: ? kg gạo
Phương pháp giải
- Tìm số gạo mới chuyển đến = số gạo ban đầu × 1/10.
- Số gạo trong kho lúc sau = số gạo ban đầu + số gạo mới chuyển đến.
Đáp án và hướng dẫn giải
Bài giải
Số gạo đã chuyển đến kho là:
246,7 x
= 24,67 (tấn)
Số gạo hiện có trong kho là:
246,7 + 24,67 = 271,37 (tấn) = 271370 (kg)
Đáp số: 271 370 (kg)
4. Vở bài tập Toán lớp 5 tập 1 trang 80 - Câu 4
Tính
2242,82 : 100 + 37411,8 : 1000 = ........................
Phương pháp giải
Muốn chia một số thập phân cho 10,100,1000,... ta chỉ việc chuyển dấu phẩy của số đó lần lượt sang bên trái một, hai, ba, ... chữ số.
Đáp án và hướng dẫn giải
Cách 1:
2242,82 : 100 + 37411,8 : 1000 = 2242,82 : 100 + 3741, 18 : 100
= (2242,82 + 3741,18) : 100
= 5984 : 100
= 59,84
Cách 2:
2242,82 : 100 + 37411,8 : 1000
= 22,4282 + 37,4118
= 59,84
5. Giải Toán lớp 5 Chia một số thập phân cho 10, 100, 1000,...SGK
>> Bài tiếp theo: Vở bài tập Toán lớp 5 bài 66: Chia một số tự nhiên cho một số tự nhiên mà thương tìm được là một số thập phân
>> Bài trước: Vở bài tập Toán lớp 5 bài 64: Luyện tập Chia một số thập phân cho một số tự nhiên
Vở bài tập Toán lớp 5 bài 65: Chia một số thập phân cho 10, 100, 1000 được GiaiToan chia sẻ trên đây. Hy vọng với phần hướng dẫn chi tiết trên đây sẽ giúp các em có thêm tài liệu tham khảo, từ đó nắm được được cách giải các dạng Toán về số thập phân, phép chia số thập phân, Chia một số thập phân cho 10, 100, 1000, đặt tính rồi tính, tính bằng 2 cách, cách tính nhanh, tính nhẩm, hệ thống lại các kiến thức Toán 5 chương 2. Chúc các em học tốt, ngoài ra các em có thể tham khảo thêm Toán lớp 5, Lý Thuyết Toán Lớp 5, Luyện Tập Toán Lớp 5, Bài Tập Cuối Tuần Lớp 5 để cùng tìm hiểu thêm các dạng bài toán khác nhau nhé
Tham khảo các tài liệu học tập Vở bài tập Toán lớp 5 tập 1
- Giải vở bài tập Toán 5 bài 55: Nhân một số thập phân với một số tự nhiên
- Vở bài tập Toán lớp 5 bài 56: Nhân một số thập phân với 10, 100, 1000
- Vở bài tập Toán lớp 5 bài 57: Luyện tập
- Vở bài tập Toán lớp 5 bài 58: Nhân một số thập phân với một số thập phân
- Vở bài tập Toán lớp 5 bài 59: Luyện tập
- Vở bài tập Toán lớp 5 bài 60: Luyện tập (tiếp theo)
- Vở bài tập Toán 5 bài 62: Luyện tập chung (tiếp theo)
- Vở bài tập Toán lớp 5 bài 63: Chia một số thập phân cho một số tự nhiên
Link Download chính thức:
Vở bài tập Toán lớp 5 bài 65: Chia một số thập phân cho 10, 100, 1000 DownloadCác phiên bản khác và liên quan:
Xem thêm bài viết khác

Vở bài tập Toán lớp 5 bài 82: Luyện tập chung (tiếp theo)

Giải vở bài tập Toán 5 bài 81: Luyện tập chung

Vở bài tập Toán lớp 5 bài 80: Luyện tập Giải Toán về tỉ số phần trăm

Vở bài tập Toán lớp 5 bài 79: Giải Toán về tỉ số phần trăm (tiếp theo)

Vở bài tập Toán lớp 5 bài 78: Luyện tập Giải Toán về tỉ số phần trăm (tiếp theo)

Vở bài tập Toán lớp 5 bài 77: Giải Toán về tỉ số phần trăm (tiếp theo)

Vở bài tập Toán lớp 5 bài 76: Luyện tập Giải Toán về tỉ số phần trăm

Vở bài tập Toán lớp 5 bài 75: Giải Toán về tỉ số phần trăm

Vở bài tập Toán lớp 5 bài 74: Tỉ số phần trăm

Giải vở bài tập Toán 5 bài 54: Luyện tập chung

Vở bài tập Toán lớp 5 bài 53: Luyện tập Trừ hai số thập phân

Giải vở bài tập Toán 5 bài 52: Trừ hai số thập phân

Vở bài tập Toán lớp 5 bài 51: Luyện tập Tổng nhiều số thập phân

Vở bài tập Toán lớp 5 bài 50: Tổng nhiều số thập phân

Vở bài tập Toán lớp 5 bài 48: Cộng hai số thập phân

Vở bài tập Toán lớp 5 bài 46: Luyện tập chung

Vở bài tập Toán lớp 5 bài 45: Luyện tập chung

















