Toán lớp 6 Bài 11 Phân tích một số ra thừa số nguyên tố Sách Cánh Diều Lý thuyết Toán lớp 6 Sách Cánh Diều
Toán lớp 6 Bài 11: Phân tích một số ra thừa số nguyên tố
GiaiToan.com xin giới thiệu đến bạn đọc tài liệu Lý thuyết Bài 11 Phân tích một số ra thừa số nguyên tố Toán lớp 6 xây dựng dựa trên kiến thức trọng tâm Sách Cánh Diều. Nhằm giúp học sinh lớp 6 củng cố, ôn tập kiến thức lý thuyết Toán lớp 6 Chương 1: Số tự nhiên. Mời thầy cô và các bạn học sinh tham khảo tài liệu.
1. Cách tìm một ước nguyên tố của một số
- Để tìm một ước nguyên tố của số tự nhiên n lớn hơn 1, ta có thể làm như sau: Lần lượt làm phép chia n cho các số nguyên tố theo thứ tự tăng dần: 2; 3; 5; 7; 11; 13; ...
- Khi đó, phép chia hết đầu tiên cho ta số chia là một ước nguyên tố của n.
2. Phân tích một số ra thừa số nguyên tố
- Phân tích một số tự nhiên lớn hơn 1 ra thừa số nguyên tố là viết số đó dưới dạng một tích các thừa số nguyên tố.
- Viết các thừa số nguyên tố theo thứ tự từ bé đến lớn, tích các thừa số giống nhau dưới dạng lũy thừa.
Có các cách để phân tích một số ra thừa số nguyên tố như sau:
Cách 1: Phương pháp phân tích theo sơ đồ cột
- Muốn phân tích một số tự nhiên a lớn hơn 1 ra thừa số nguyên tố ta có thể làm như sau:
Bước 1: Kiểm tra xem 2 có phải là ước của a hay không. Nếu không ta xét số nguyên tố 3 và cứ như thế đối với các số nguyên tố lớn dần.
Bước 2: Giả sử x là ước nguyên tố nhỏ nhất của a, ta chia a cho x được thương b.
Bước 3: Tiếp tục thực hiện quy trình trên đối với b. Cứ tiếp tục quá trình trên kéo dài cho đến khi ta được thương là một số nguyên tố.
Ví dụ: Phân tích các số 45, 78 ra thừa số nguyên tố
Hướng dẫn giải
Phân tích số 45

Đáp án: 45 = 32 . 5
Phân tích số 78

Đáp án: 78 = 2 . 3 . 13
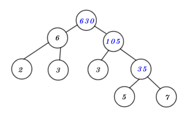
Cách 2: Phương pháp phân tích theo sơ đồ cây
Ví dụ: Phân tích số 630 ra thừa số nguyên tố.

Vậy 630 = 2 . 32 . 5 . 7
Chú ý:
+ Thông thường khi phân tích một số tự nhiên ra thừa số nguyên tố, các ước nguyên tố được viết theo thứ tự tăng dần.
+ Ngoài cách làm như trên ta cũng có thể phân tích một số ra thừa số nguyên tố bằng cách viết số đó thành tích của hai thừa số linh hoạt.
----------------------------------------------------
----> Bài tiếp theo: Toán lớp 6 Bài 12: Ước chung. Ước chung lớn nhất
------> Bài liên quan:
- Giải Toán 6 Bài 11: Phân tích một số ra thừa số nguyên tố
- Luyện tập Phân tích một số ra thừa số nguyên tố
- Giải SBT Toán 6 Bài 11: Phân tích một số ra thừa số nguyên tố - CD
----------------------------------------------------
Trên đây là toàn bộ nội dung lý thuyết môn Toán lớp 6 Cánh Diều bài 11 Phân tích một số ra thừa số nguyên tố cho các bạn học sinh tham khảo. Ngoài ra, các em học sinh tham khảo một số tài liệu liên quan: Luyện tập Toán lớp 6, Đề thi học kì 1 lớp 6, Đề thi học kì 2 lớp 6, ... Chúc các em học sinh học tập thật tốt!