Toán 7 Bài 8: Đại lượng tỉ lệ nghịch sách CD Toán 7 bài 8 - Sách Cánh Diều
Lý thuyết Đại lượng tỉ lệ nghịch trang 64 sách Cánh Diều được GiaiToan biên soạn và đăng tải. Với phần tóm tắt đại lượng tỉ lệ nghịch cùng với bài tập nâng cao, giúp các em nắm chắc kiến thức trọng tâm, đồng thời rèn luyện kỹ năng giải bài Toán lớp 7. Mời các em tham khảo.
Toán 7 Bài 8: Đại lượng tỉ lệ nghịch
A. Lý thuyết Đại lượng tỉ lệ nghịch
1. Định nghĩa tỉ lệ nghịch
+ Nếu đại lượng y liên hệ với đại lượng x theo công thức y = a/x hay xy = a (với a là hằng số khác 0) thì ta nói y tỉ lệ nghịch với x theo hệ số tỉ lệ a
+ Khi đại lượng y tỉ lệ nghịch với đại lượng x thì x cũng tỉ lệ nghịch với y và ta nói hai đại lượng đó tỉ lệ nghịch với nhau
Ví dụ: Nếu y = 3/x thì y tỉ lệ nghịch với x theo hệ số tỷ lệ là 3
2. Tính chất tỉ lệ nghịch
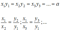
Nếu hai đại lượng tỉ lệ nghịch với nhau thì:
+ Tích hai giá trị tương ứng của chúng luôn luôn không đổi
+ Tỉ số hai giá trị bất kì của đại lượng này bằng nghịch đảo của tỷ số hai giá trị tương ứng của đại lượng kia
Nếu hai đại lượng y và x tỉ lệ nghịch với nhau theo hệ số tỉ lệ a thì :

3. Ví dụ tỉ lệ nghịch
Ví dụ 1: Cho x và y là hai đại lượng tỉ lệ nghịch theo hệ số tỉ lệ là 3. Biểu diễn y theo x
Ta có x và y là hai đại lượng tỉ lệ nghịch theo hệ số tỉ lệ là 3
Khi đó ta có: y = 3/x
Do đó y tỉ lệ x theo hệ số tỉ lệ là 3
B. Bài tập Lý thuyết Đại lượng tỉ lệ nghịch
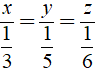
Bài 1: Chia số 84 thành các phần tỉ lệ nghịch với các số 3; 5; 6
Hướng dẫn giải:
Gọi x, y, z là ba phần theo thứu tự tỉ lệ nghịch với các số 3; 5; 6
Ta có:
và x + y + z = 84
Theo tính chất của dãy tỉ số bằng nhau ta có:

Bài 2: Một người đi từ thành phố A đến thành phố B hết 4 giờ. Khi đi từ B trở về A, người đó tăng vận tốc thêm 2km mỗi giờ vì thế thời gian lúc về ít hơn thời gian lúc đi là 48 phút. Tính đoạn đường AB.
Hướng dẫn giải:
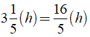
Thời gian người đó đi từ B về A là:
t2 = 4h - 48 phút = 3h 12 phút = 
Gọi vận tốc lúc đi là v (km/h) thì vận tốc lúc về là (v + 2) km/h
Quãng đường đi không đổi nên vận tốc và thời gian là hai đại lượng tỉ lệ nghịch với nhau.
Khi đó ta có:

Do đó: v = 8 (km/h) ⇒ s = 32 (km)
C. Giải Toán 7 bài 8 SGK + SBT Cánh Diều
- Giải Toán 7 bài 8 Đại lượng tỉ lệ nghịch
>>> Bài tiếp theo: Toán 7 Bài 1: Hình hộp chữ nhật. Hình lập phương sách CD
>>> Bài trước: Toán 7 Bài 7: Đại lượng tỉ lệ thuận sách CD
Toán 7 Bài 8: Đại lượng tỉ lệ nghịch sách CD được GiaiToan chia sẻ trên đây. Hy vọng với phần tóm tắt lý thuyết trên đây sẽ giúp các em củng cố kiến thức, áp dụng tốt vào giải các dạng bài tập về đại lượng tỉ lệ nghịch. Từ đó chuẩn bị cho bài thi giữa học kì và cuối học kì Toán lớp 7 sắp tới. Chúc các em học tốt, các em nhớ tham khảo thêm các dạng bài tập Toán lớp 7 tại chuyên mục Giải Toán 7 Cánh Diều Tập 1 do GiaiToan biên soạn để ôn tập nhé.
Xem thêm bài viết khác

Toán 7 Bài 2: Phân tích và xử lí dữ liệu

Toán 7 Bài 1: Thu thập, phân loại và biểu diễn dữ liệu

Toán 7 Bài 4: Định lí sách CD

Toán 7 Bài 3: Hai đường thẳng song song sách CD

Toán 7 Bài 2: Tia phân giác của một góc sách CD

Toán 7 Bài 1: Góc ở vị trí đặc biệt sách CD

Toán 7 Bài 2: Hình lăng trụ đứng tam giác. Hình lăng trụ đứng tứ giác sách CD

Toán 7 Bài 6: Dãy tỉ số bằng nhau sách CD

Toán 7 Bài 5: Tỉ lệ thức sách CD

Toán 7 Bài 4: Làm tròn và ước lượng sách CD

Toán 7 Bài 3: Giá trị tuyệt đối của một số thực sách CD

Toán 7 Bài 2: Tập hợp R các số thực sách CD

Toán 7 Bài 1: Số vô tỉ. Căn bậc hai số học sách CD

Toán 7 Bài 5: Biểu diễn thập phân của số hữu tỉ sách CD

Toán 7 Bài 4: Thứ tự thực hiện các phép tính. Quy tắc dấu ngoặc sách CD

Toán 7 Bài 3: Phép tính lũy thừa với số mũ tự nhiên của một số hữu tỉ sách CD

Toán 7 Bài 2: Cộng, trừ, nhân, chia số hữu tỉ sách CD

Toán 7 Bài 1: Tập hợp Q các số hữu tỉ sách CD

















