Tính bằng cách thuận tiện nhất Cách tính nhanh giá trị biểu thức
Tính bằng cách thuận tiện nhất được GiaiToan biên soạn và đăng tải. Bài học này sẽ giúp các em luyện tập về dạng bài tính nhanh, củng cố kiến thức, nâng cao kỹ năng giải bài tập Toán lớp 4. Dưới đây là nội dung chi tiết, các em cùng tham khảo nhé.
Bài tập Tính bằng cách thuận tiện nhất
A. Tính bằng cách thuận tiện nhất là gì?
Tính bằng cách thuận tiện nhất là việc áp dụng các tính chất của phép cộng, phép nhân, … vào việc giải bài toán tính giá trị của biểu thức một cách nhanh, hợp lí và chính xác nhất.
B. Cách tính bằng cách thuận tiện nhất
1. Quy tắc 1: Nhóm các số trong biểu thức thành từng nhóm có tổng (hoặc hiệu) là các số tròn chục, tròn trăm, tròn nghìn,…
Áp dụng tính chất giao hoán và kết hợp của phép cộng:
• Khi đổi chỗ các số hạng trong một tổng thì tổng không thay đổi
a + b = b + a
• Khi cộng hai số với số thứ ba, ta có thể cộng số thứ nhất với tổng của số thứ hai và số thứ ba.
(a + b) + c = a + (b + c)
Ví dụ 1:
98 + 3 + 97 + 2 = 98 + 2 + 97 + 3
= (98 + 2) + (97 + 3)
= 100 + 100
= 200
![]()
= 2 + 2
= 4
2. Quy tắc 2: Nhóm các số trong biểu thức thành từng nhóm có tích là các số tròn chục, tròn trăm, tròn nghìn,…
Áp dụng tính chất giao hoán và kết hợp của phép nhân:
• Khi đổi chỗ các thừa số trong một tích thì tích không thay đổi.
a x b = b x a
• Khi nhân một tích hai số với số thứ ba, ta có thể nhân số thứ nhất với tích của số thứ hai và số thứ ba
(a x b) x c = a x (b x c)
Ví dụ 2:
4 x 125 x 25 x 8 = 4 x 25 x 125 x 8
= (4 x 25) x (125 x 8)
= 100 x 1 000
= 100 000
3. Quy tắc 3: Vận dụng các tính chất của phép cộng, phép nhân, phép trừ, phép chia
Áp dụng các tính chất phân phối của phép nhân đối với phép cộng, phép trừ:
• Nhân một số với một tổng: Muốn nhân một số với một tổng, ta nhân số đó với từng số hạng của tổng, rồi cộng các kết quả lại với nhau.
a x (b + c) = a x b + a x c
• Nhân một số với một hiệu: Muốn nhân một số với một hiệu, ta có thể lần lượt nhân số đó với số bị trừ và số trừ, rồi trừ hai kết quả cho nhau
a x (b – c) = a x b – a x c
• Một tổng chia cho một số: Khi chia một tổng cho một số, nếu các số hạng của tổng đều chia hết cho số chia thì ta có thể chia từng số hạng cho số chia, rồi cộng các kết quả tìm được lại với nhau
(a + b) : c = a : c + b : c
• Một số trừ đi một tổng: Muốn trừ một số cho một tổng ta có thể lấy số đó trừ đi một số được kết quả trừ tiếp số còn lại
a – (b + c) = a – b – c
• Một số trừ đi một hiệu: Muốn trừ một số cho một hiệu ta có thể lấy số đó trừ đi số bị trừ rồi cộng với số trừ của hiệu.
a – (b – c) = a – b + c
Ví dụ 3:
142 x 12 + 142 x 88 = 142 x (12 + 88)
= 142 x 100
= 14 200
54 : 6 + 72 : 6 = (54 + 72) : 6
= 126 : 6
= 21
![]()
![]()
4. Quy tắc 4: Vận dụng các tính chất với các số đặc biệt
• 0 nhân với một số:
0 x a = a x 0 = 0
• 0 chia cho một số:
0 : a = 0
• 1 nhân với một số:
1 x a = a x 1 = a
• Chia một số cho 1:
a : 1 = a
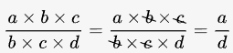
5. Quy tắc 5: Vận dụng tính chất của 4 phép tính để tách, ghép ở tử số hoặc ở mẫu số nhằm tạo ra thừa số giống nhau ở cả mẫu số và tử số rồi thực hiện rút gọn biểu thức.
![]()
Ví dụ:
= ![]()
![]()
Tính bằng cách thuận tiện nhất 1 + 2 + 3 + ....+ 18 + 19 + 20
Lời giải chi tiết:
1 + 2 + 3 + … + 18 + 19 + 20
= 10 + (1 + 19) + (2 + 18) + (3 + 17) + (4 + 16) + (5 + 15) + (6 + 14) + (7 + 13) + (8 + 12) + (9 + 11) + 20
= 10 + 20 + 20 + 20 + 20 + 20 + 20 + 20 + 20 + 20 + 20
= 10 + 20 x 10
= 10 + 200
= 210
C. Bài tập tính bằng cách thuận tiện nhất
Bài 1: Tính bằng cách thuận tiện nhất:
a) 237 + 357 + 763
b) 2 345 + 4 257 – 345
c) ![]()
d) ![]()
Bài 2: Tính bằng cách thuận tiện nhất:
a) 326 x 728 + 326 x 272
b) 2 009 x 867 + 2 009 x 133
c) 4 x 125 x 25 x 8
d) 2 x 8 x 50 x 25 x 125
Bài 3: Tính bằng cách thuận tiện nhất:
1 235 x 6 789 x (630 – 315 x 2)
Bài 4: Tính bằng cách thuận tiện nhất:
a) 123 x 3 + 123 x 7
b) 45 x 17 – 45 x 9
c) 235 x 2 + 235 x 3 + 235 x 5
d) 102 x 18 – 102 x 6 – 102 x 2
e) 203 + 203 x 12 – 203 x 3
f) 37 x 28 + 37 x 72
g) 52 x 48 – 52 x 28
h) 120 x 4 + 120 x 5 +120
i) 230 x 123 – 230 x 22 – 230
j) 135 x 37 – 135 + 135 x 64
k) ![]()
l) ![]()
Bài 5: Tính bằng cách thuận tiện nhất:
a) 237 + 357 + 763 | g) 2 345 + 4 257 + 345 |
b) 5 238 + 3 476 – 476 | h) 1 987 – 538 – 462 |
c) 4 276 + 2 357 + 5 724 + 7 643 | i) 3 145 + 2 496 + 5 347 + 7 504 + 4 653 |
d) 2 376 – 376 + 3 425 – 425 | k) 3 576 – 4 037 – 5 963 + 6 424 |
e) 142 x 12 + 142 x 8 | l) 75 x 18 + 25 x 18 |
f) 49 x 365 – 39 x 365 | m) 22 x 413 – 22 x 13 |
Bài 6: Tính bằng cách thuận tiện nhất:
a) 5 + 5 + 5 + 5 + 5 + 5 + 5 + 5 + 5 + 5
b) 25 + 25 + 25 + 25 + 25 + 25 + 25 + 25
c) 45 + 45 + 45 + 45 + 5 + 5 + 5 + 5
d) 2 + 4 + 6 + 8 + 10 + 12 + 14 + 16 + 18
e) 125 + 125 + 125 + 125 – 25 – 25 – 25 – 25
Bài 7: Tính bằng cách thuận tiện nhất:
a) 875 : 100 + 125 : 100
b) ![]()
c) ![]()
d) 25 x 675 x 4
e) 1 500 : (3 x 5)
f) 365 – 215 + 475 – 155
g) 125 x 5 + 125 x 4 + 125
h) 32 684 + 41 325 + 316 + 675
i) 17 x 26 + 26 x 44 + 39 x 26
k) 11 + 22 + 33 + 44 + 55 + 66 + 77 + 88 + 99
Bài 8: Tính nhanh:
1) 8 x 427 x 3 + 6 x 573 x 4
2) 6 x 1 235 x 20 – 5 x 235 x 24
3) (145 x 99 + 145) – (143 x 102 – 143)
4) 54 x 47 – 47 x 53 – 20 – 27
5) 326 x 728 + 327 x 272
6) 2 008 x 867 + 2 009 x 133
7) 5 665 x 27 + 5 665 x 77 + 5 665
8) 1 235 x 6 789 x (630 – 315 x 2)
9) (m : 1 – m x 1) : (m x 2 008 + m + 2 008)
10) 326 x 728 + 327 x 272
Bài 9: Cho A = 2 009 x 425 và B = 575 x 2 009
Không tính A và B, em hãy tính nhanh kết quả của A – B?
Bài 10: Cho dãy số sau: 1, 5, 9, 13, …,65, 69.
a) Tính số lượng các số hạng trong dãy số.
b) Tính tổng của dãy số đã cho.
Bài 11:
a) Tính tổng của các số lẻ bé hơn 100
b) Tính tổng của 20 số lẻ liên tiếp kể từ 1 trở đi
c) Tính tổng của 20 số chẵn đầu tiên
d) Tính tổng của các số có hai chữ số mà các số đều có chữ số tận cùng là 5.
Bài 12: Tính hợp lí nếu có thể:
a) 11 560 + 22 710 + 30 290 + 5 440
b) ![]()
c) ![]()
d) 92 x 1 171 − 92 x 170 − 92
e) (7 565 − 4 786) − (2 565 − 1 786)
f) 327 184 − 28 942 + 456 816 − 71 058
g) (145 x 99 + 145) − (143 x 101 − 143)
h) 99 999 + 9 999 + 999 + 99 + 9
i) 999 999 + 999 + 9
Bài 13: Tìm y, biết: y x 15 + y x 2 − y x 7 = 230.
Bài 14: Tính bằng cách thuận tiện
1) 5 x 8 x 9 x 2 x 125
2) 50 x 125 x 2 x 8 x 202
3) 54 x 113 + 45 x 113 + 113
4) (532 x 7 – 266 x 14) x (532 x 7 + 266)
5) 107 x 95 + 107 x 175 – 107 x 150
Bài 15: Tính bằng cách hợp lí:
1) 745 x 11 – 745
2) 578 x 78 – 578 x 14 + 578 x 36
3) 248 x (36 + 62) – 148 x (62 + 36)
4) 111 x 164 – 64 x (101 + 4 510 : 451)
Bài 16: Tính bằng cách thuận tiện nhất:
1) 0,25 x 5,87 x 40
2) 7,48 x 99 + 7,48
3) 98,45 – 41,82 – 35,63
4) 1,1 + 2,2 + 3,3 + 4,4 + 5,5 + 6,6 + 7,7 + 8,8 + 9,9
5) 13,57 x 5,5 + 13,57 x 3,5 + 13,57
Bài 17: Tính bằng cách hợp lí:
1) 2,5 x 34,19 x 4
2) 0,25 x 1,25 x 0,8 x 4
3) 20,5 x 4,7 – 20,5 x 4,6
4) 1,98 : 12 + 4,02 : 12
5) 213 : 1,5 – 198 : 1,5
6) 2,37 x 57,8 + 23,7 x 4,22
7) 0,8 x 23,6 x 3 – 4,8 x 1,8
Bài 18: Tính nhanh:
1) 3 x (36,2 – 6,52) + 7 x 36,2 + 3 x 0,52
2) 15,2 x 34,5 + 15,2 x 47,5 + 84,8 x 82
------------------------------------------
-
Thanh Huyen Vu ThiThích · Phản hồi · 3 · 12/03/24 -
Thanh Huyen Vu ThiThích · Phản hồi · 2 · 12/03/24-
Cự GiảiThích · Phản hồi · 3 · 12/03/24
-
-
Hieu HoThích · Phản hồi · 2 · 28/03/24 -
Thu HằngThích · Phản hồi · 2 · 01/05/24 -
Lê Tấn KiệtThích · Phản hồi · 1 · 21/05/24 -
HoaiAn LinDaThích · Phản hồi · 2 · 18/06/24-
BờmThích · Phản hồi · 3 · 19/06/24
-
-
Hà TrầnThích · Phản hồi · 3 · 19/06/24-
CaptainThích · Phản hồi · 2 · 19/06/24
-
-
Trọng Quang VõThích · Phản hồi · 1 · 09/07/24-
CaptainThích · Phản hồi · 1 · 09/07/24
-
-
Quynh NguyenThích · Phản hồi · 1 · 26/07/24-
CaptainThích · Phản hồi · 1 · 26/07/24
-
-
Dung PhamThích · Phản hồi · 1 · 20:51 04/12
Xem thêm bài viết khác

Bài 5 trang 51 Toán 6 tập 2 SGK Cánh Diều

Hai bạn An và Cường được lớp phân công đi mua kẹo về liên hoan

Cô giáo mua 60 quyển vở cho 4 tổ của lớp. Tổ 1 nhận được 1/10 số vở

Một trường học có 1 200 học sinh. Số học sinh có học lực trung bình chiếm 3/8 tổng số học sinh

Một lớp học có 40 học sinh, trong đó 1/2 số học sinh đạt danh hiệu học sinh giỏi

Một mảnh đất hình chữ nhật có chiều dài 50 m, chiều rộng 36 m. Người ta sử dụng 5/9 diện tích

Đề thi học kì 2 lớp 4 môn Toán Kết nối tri thức - Đề số 4

Một đội công nhân chuẩn bị đủ gạo cho 40 người ăn trong 15 ngày

Một đơn vị bộ đội chuẩn bị được 5 tạ gạo để ăn trong 15 ngày








