Bài 1 trang 11 SBT Toán lớp 6 - CTST Giải sách bài tập Toán 6
Bài 1 trang 11 SBT Toán lớp 6 tập 2 - Chân trời sáng tạo là câu hỏi nằm trong Bài 2: Tính chất cơ bản của phân số được GiaiToan hướng dẫn giải chi tiết, giúp các em biết cách làm bài tập trong SBT Toán lớp 6. Hi vọng, thông qua đó học sinh được củng cố kiến thức và nắm bài học tốt hơn. Mời các em cùng tham khảo.
Bài 1 trang 11 SBT Toán lớp 6
Giải bài 1 trang 11 sách bài tập Toán lớp 6
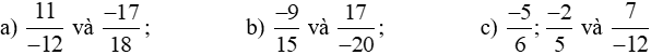
Quy đồng mẫu số các phân số sau:

Lời giải:
a) 
Ta có MSC = BCNN (12, 18) = 36.
Ta quy đồng như sau:

b) 
Ta có MSC = BCNN(15, 20) = 36.
Ta quy đồng như sau:

c) 
Ta có MSC = BCNN(6, 5, 12) = 60.
Ta quy đồng như sau:

---> Bài liên quan: Giải Toán lớp 6 Bài 2 Tính chất cơ bản của phân số
>>> Câu hỏi cùng bài:
>>> Bài trước: Giải SBT Toán 6 Bài 1: Phân số với tử số và mẫu số là số nguyên - CTST
Trên đây là hướng dẫn giải Bài 1 trang 11 SBT Toán lớp 6 - CTST cho các em học sinh tham khảo, nắm được cách giải các dạng bài toán có trong Chương 5: Phân số. Qua đó giúp các em học sinh ôn tập chuẩn bị cho các bài thi giữa và cuối học kì lớp 6. Ngoài ra, mời các em tham khảo thêm các dạng bài tập Toán lớp 6 trong chuyên mục Luyện Tập Toán 6 CTST, Giải Toán 6 Tập 2 CTST được GiaiToan biên soạn để ôn tập nhé.
- Lượt xem: 61