Bài 7 trang 9 SBT Toán lớp 6 - CTST Giải sách bài tập Toán 6
Bài 7 trang 9 SBT Toán lớp 6 tập 2 - Chân trời sáng tạo được GiaiToan biên soạn và đăng tải. Bài viết hướng dẫn các em giải câu 7 nằm trong Bài 1: Phân số với tử số và mẫu số là số nguyên, với cách giải nhanh và dễ hiểu nhất. Hi vọng, thông qua đó học sinh được củng cố kiến thức và nắm bài học tốt hơn.
Bài 7 trang 9 SBT Toán lớp 6
Giải bài 7 trang 9 sách bài tập Toán lớp 6
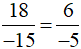
Kiểm tra khẳng định: 18 . (−5) = (−15) . 6 . Từ khẳng định đó, viết phân số bằng phân số
Cũng từ khẳng định đó, có thể có những cặp phân số nào khác mà bằng nhau?
Lời giải:
Ta thấy 18 . (−5) = 6 . 3 . (−5) = 6. (−15) = (−15) . 6
Do đó 18 . (−5) = (−15) . 6 là khẳng định đúng.
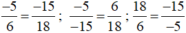
Vì 18 . (−5) = (−15) . 6 nên 
Ta đổi chỗ lần lượt các thừa số trong hai tích ở biểu thức:
18 . (−5) = (−15) . 6
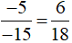
Nếu viết thành (−5) . 18 = 6 . (−15) thì ta có 
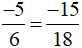
Nếu viết thành (−5) . 18 = (−15) . 6 thì ta có 
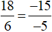
Nếu viết thành 18 . (−5) = 6 . (−15) thì ta có 
Do đó các cặp phân số khác bằng nhau là: 
---> Bài liên quan: Giải Toán lớp 6 Bài 1 Phân số với tử số và mẫu số là số nguyên Sách Chân trời sáng tạo
>>> Câu hỏi cùng bài
>>> Bài tiếp theo: Giải SBT Toán 6 Bài 2: Tính chất cơ bản của phân số - CTST
>>> Bài trước: Giải SBT Toán 6 Bài 4: Biểu đồ cột - Biểu đồ cột kép - CTST
Trên đây là lời giải chi tiết cho Bài 7 trang 9 SBT Toán lớp 6 - CTST dành cho các em học sinh tham khảo, nắm được cách giải các dạng bài toán Chương 5: Phân số. Qua đó giúp các em học sinh ôn tập nắm chắc kiến thức cơ bản môn Toán 6 và hỗ trợ các em học sinh trong các kì thi trong năm học lớp 6. Ngoài ra mời các em tham khảo thêm các dạng bài tập Toán lớp 6 trong chuyên mục Luyện Tập Toán 6 CTST, Giải Toán 6 Tập 2 CTST được GiaiToan biên soạn để ôn tập nhé.
- Lượt xem: 46