Bài 5 trang 12 SBT Toán lớp 6 tập 2 - CTST Giải sách bài tập Toán 6
Bài 5 trang 12 SBT Toán lớp 6 tập 2 - Chân trời sáng tạo được GiaiToan biên soạn và đăng tải. Bài viết hướng dẫn các em giải câu 5 nằm trong Bài 2: Tính chất cơ bản của phân số chi tiết, giúp các em biết cách làm bài tập trong SBT Toán lớp 6. Hi vọng, thông qua đó học sinh được củng cố kiến thức và nắm bài học tốt hơn.
Bài 5 trang 12 SBT Toán lớp 6
Giải bài 5 trang 12 sách bài tập Toán lớp 6
Nêu hai cách giải thích các phân số sau bằng nhau (dùng khái niệm bằng nhau và dùng tính chất).

Lời giải:
Cách 1: Dùng khái niệm bằng nhau:
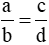
Nếu a . d = b . c thì
(với a , b , c , d ≠ 0 ).
Cách 2: Dùng tính chất:
- Tính chất 1: Nếu ta nhân cả tử và mẫu của một phân số với cùng một số nguyên khác 0 thì ta được phân số bằng phân số đã cho.
, với m ∈ Z và m ≠ 0 .
- Tính chất 2: Nếu chia cả tử và mẫu của một phân số cho cùng một ước chung của chúng thì ta được một phân số bằng phân số đã cho.
, với n ∈ Ư C ( a ; b ).
a) Cách 1 (dùng định nghĩa): vì ( − 15) . ( − 11) = 5 . 33 =165 nên
.
Vậy 
Cách 2 (dùng tính chất 2): Ta có
.
Vậy 
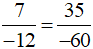
b) Cách 1 (dùng định nghĩa): Vì 7 . ( − 60) = ( − 12) . 35 = − 420 nên
.
Vậy
.
Cách 2 (dùng tính chất 1): Ta có: 
Vậy
.
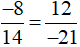
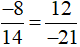
c) Cách 1 (dùng định nghĩa): Vì ( − 8) . ( − 21) = 14 . 12 = 168 nên 
Vậy 
Cách 2 (dùng tính chất 2 và tính chất 1): Ta có:
Vậy 
---> Bài liên quan: Giải Toán lớp 6 Bài 2 Tính chất cơ bản của phân số
>>> Câu hỏi cùng bài:
>>> Bài trước: Giải SBT Toán 6 Bài 1: Phân số với tử số và mẫu số là số nguyên - CTST
Bài 5 trang 12 SBT Toán lớp 6 tập 2 - CTST được GiaiToan chia sẻ trên đây. Hy vọng với hướng dẫn giải bài tập chi tiết này sẽ là tài liệu hữu ích cho các em tham khảo, nắm được cách giải các dạng bài toán Chương 5: Phân số. Chúc các em học tốt, mời các em tham khảo thêm các dạng bài tập Toán lớp 6 trong chuyên mục Luyện Tập Toán 6 CTST, Giải Toán 6 Tập 2 CTST được GiaiToan biên soạn để ôn tập nhé.
- Lượt xem: 77