Bài 4 trang 8 SBT Toán lớp 6 - CTST Giải sách bài tập Toán 6
Bài 4 trang 8 SBT Toán lớp 6 tập 2 - Chân trời sáng tạo là câu hỏi nằm trong Bài 1: Phân số với tử số và mẫu số là số nguyên được GiaiToan đưa ra các phương pháp giải chi tiết giúp học sinh dễ dàng xem và so sánh lời giải từ đó biết cách làm bài tập trong sách bài tập Toán 6. Dưới đây là lời giải chi tiết, các em tham khảo nhé.
Bài 4 trang 8 SBT Toán lớp 6
Giải bài 4 trang 8 sách bài tập Toán lớp 6
Thay dấu? bằng số nguyên thích hợp
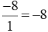
a) 
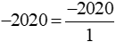
b) 
Lời giải:
Số nguyên là một phân số có mẫu số là 1 và tử số là chính số nguyên đó.
a) Số nguyên − 8 có là phân số có mẫu số là 1 và tử số là − 8.
Vậy 
b) Phân số có tử số là −2020 và mẫu số là 1 nên ? = −2020 : 1 = −2020
Vậy 
---> Bài liên quan: Giải Toán lớp 6 Bài 1 Phân số với tử số và mẫu số là số nguyên Sách Chân trời sáng tạo
>>> Câu hỏi cùng bài
- Bài 5 trang 8 SBT Toán lớp 6 - CTST
- Bài 6 trang 8 SBT Toán lớp 6 - CTST
- Bài 7 trang 9 SBT Toán lớp 6 - CTST
- Bài 8 trang 9 SBT Toán lớp 6 - CTST
>>> Bài tiếp theo: Giải SBT Toán 6 Bài 2: Tính chất cơ bản của phân số - CTST
>>> Bài trước: Giải SBT Toán 6 Bài 4: Biểu đồ cột - Biểu đồ cột kép - CTST
Như vậy là GiaiToan đã giúp các em hoàn thành Bài 4 trang 8 SBT Toán lớp 6 - CTST. Với hướng dẫn giải chi tiết cho bài tập này, các em sẽ nắm được nội dung bài tập, củng cố kiến thức dạng bài tập Chương 5: Phân số. Qua đó, các em cũng sẽ tự tin hơn trong việc chuẩn bị cho cho bài thi giữa học kì và cuối học kì 2 lớp 6. Ngoài ra, các em có thể tham khảo thêm các dạng bài tập Toán lớp 6 trong chuyên mục Luyện Tập Toán 6 CTST, Giải Toán 6 Tập 2 CTST được GiaiToan biên soạn để ôn tập nhé.
- Lượt xem: 34