Câu hỏi trang 30 SGK Toán 8 tập 1 Giải SGK Toán 8 tập 1
Câu hỏi trang 30 Toán 8 Tập 1
Câu hỏi Trang 30 SGK Toán 8 tập 1 do GiaiToan.com biên tập và đăng tải với hướng dẫn chi tiết lời giải giúp cho các em học sinh tham khảo, ôn tập, củng cố kỹ năng giải Toán 8. Mời các em học sinh cùng tham khảo chi tiết.
Câu hỏi Trang 30 SGK Toán 8 - Tập 1
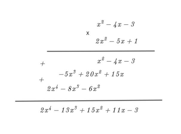
| Câu hỏi (SGK trang 30): Kiểm tra lại tích (x2 – 4x – 3)(2x2 – 5x + 1) có bằng (2x4 - 13x3 + 15x2 + 11x – 3) hay không. |
Hướng dẫn giải
– Để chia đa thức A cho đơn thức B, ta chia từng hạng tử của đa thức A cho đơn thức B rồi cộng các kết quả với nhau.
– Muốn chia đơn thức A cho đơn thức B ta làm như sau:
+ Chia hệ số của đơn thức A cho hệ số của đơn thức B
+ Chia lũy thừa của từng biến trong A cho lũy thừa của cùng biến đó trong B.
+ Nhân các kết quả vừa tìm được với nhau.
Lời giải chi tiết

Vậy (x2 – 4x – 3)(2x2 – 5x + 1) = 2x4 - 13x3 + 15x2 + 11x – 3
-----> Bài tiếp theo: Bài 67 trang 31 SGK Toán 8 tập 1
-------------------------------------------------------------
Trên đây là lời giải chi tiết bài tập Toán 8 Bài 12: Chia đa thức một biến đã sắp xếp cho các em học sinh tham khảo, nắm được cách giải các dạng toán Chương 1: Phép nhân và phép chia các đa thức Toán 8 Tập 1. Với lời giải hướng dẫn chi tiết các bạn có thể so sánh kết quả của mình từ đó nắm chắc kiến thức Toán lớp 8. Chúc các bạn học tốt và nhớ thường xuyên tương tác với GiaiToan để có thêm nhiều tài liệu chất lượng miễn phí nhé!
- Lượt xem: 441