Bài 59 trang 87 SBT Toán lớp 6 - CD Giải sách bài tập Toán 6
Bài 59 trang 87 SBT Toán lớp 6 tập 1 - Cánh diều được GiaiToan biên soạn và đăng tải, hướng dẫn các em giải câu hỏi chi tiết, giúp các em học sinh ôn tập và củng cố kiến thức về các dạng toán Phép chia hết hai số nguyên. Quan hệ chia hết trong tập hợp số nguyên. Dưới đây là lời giải chi tiết, các em tham khảo nhé.
Bài 59 trang 87 SBT Toán lớp 6
Giải bài 59 trang 87 sách bài tập Toán lớp 6
Bạn Nam có một bộ sưu tập gồm 169 quyển truyện khác nhau và muốn tặng bạn bè, biết không có hai bạn nào nhận được số quyển truyện bằng nhau. Bạn Nam có thể tặng được nhiều nhất cho bao nhiêu bạn?
Lời giải:
Giả sử Nam tặng 169 quyển truyện được nhiều nhất cho n bạn. Không có hai bạn nào nhận được số quyển truyện bằng nhau, nên để chia được cho nhiều bạn nhất thì phải chia cho từng bạn số quyển truyện tương ứng là: 1; 2; 3; 4; 5; …; n – 1; n.
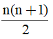
Tổng số quyển truyện của n bạn trên là:
1 + 2 + 3 + 4 + ..... + n - 1 + n = (quyển).
Nếu n ≥ 18 thì . Mà bạn Nam chỉ có 169 quyển truyện nên bạn Nam có thể tặng nhiều nhất cho 17 bạn.
Vậy bạn Nam có thể chia 169 quyển truyện cho nhiều nhất 17 bạn.
---> Bài liên quan: Giải Toán lớp 6 Bài 6 Phép chia hết hai số nguyên Quan hệ chia hết trong tập hợp số nguyên
-----> Câu hỏi cùng bài:
>>> Bài tiếp theo: Giải SBT Toán 6: Ôn tập cuối chương 2 - CD
>>> Bài trước: Giải SBT Toán 6 Bài 5: Phép nhân các số nguyên - CD
Trên đây là hướng dẫn giải Bài 59 trang 87 SBT Toán lớp 6 - CD cho các em học sinh tham khảo, nắm được cách giải các dạng bài toán có trong Chương 2: Số nguyên. Qua đó giúp các em học sinh ôn tập chuẩn bị cho các bài thi giữa và cuối học kì lớp 6. Ngoài ra, mời các em tham khảo thêm các dạng bài tập Toán lớp 6 trong chuyên mục Luyện Tập Toán 6 CD, Giải Toán 6 Tập 1 CD được GiaiToan biên soạn để ôn tập nhé.
- Lượt xem: 110
