Bài 2.63 trang 46 SBT Toán lớp 6 - KNTT Giải sách bài tập Toán 6
Giải bài 2.63 trang 46 SBT Toán lớp 6 tập 1 - Kết nối tri thức với cuộc sống được GiaiToan biên soạn và đăng tải. Hướng dẫn các em trả lời câu hỏi 2.63 trang 46 nằm trong bài Ôn tập chương 2 chi tiết, giúp các em ôn tập, rèn luyện nâng cao kỹ năng giải bài tập SBT Toán lớp 6. Các em cùng tham khảo nhé.
Bài 2.63 trang 46 SBT Toán lớp 6
1. Giải bài 2.63 trang 46 sách bài tập Toán lớp 6
Đề bài:
Biết hai số 23.3a và 2b.35 có ước chung lớn nhất là 22.35 và bội chung nhỏ nhất là 23.36. Hãy tìm giá trị của các số tự nhiên a và b.
Phương pháp giải
*Sử dụng kết quả a.b= ƯCLN(a,b). BCNN(a,b)
Lời giải:
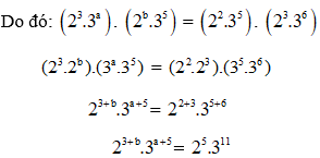
Gọi x = 23.3a và y = 2b.35
Ta có tích của hai số là tích của ƯCLN và BCNN của hai số đó.
Ta có: x. y = ƯCLN(x, y). BCNN(x, y)
Vì ước chung lớn nhất của hai số là và bội chung nhỏ nhất của hai số là 23.36.

Vì thế 3 + b = 5. Suy ra b = 5 – 3 = 2
a + 5 = 11. Suy ra a = 11 – 5 = 6
Vậy a = 6; b = 2.
2. Luyện tập kiến thức Toán 6 ôn tập chương 2
-----> Câu hỏi cùng bài:
- Bài 2.56 trang 45 SBT Toán lớp 6 - KNTT
- Bài 2.57 trang 45 SBT Toán lớp 6 - KNTT
- Bài 2.58 trang 45 SBT Toán lớp 6 - KNTT
- Bài 2.59 trang 46 SBT Toán lớp 6 - KNTT
- Bài 2.60 trang 46 SBT Toán lớp 6 - KNTT
- Bài 2.61 trang 46 SBT Toán lớp 6 - KNTT
- Bài 2.62 trang 46 SBT Toán lớp 6 - KNTT
- Bài 2.64 trang 46 SBT Toán lớp 6 - KNTT
>>> Bài tiếp theo: Giải SBT Toán 6 Bài 13: Tập hợp các số nguyên - KNTT
>>> Bài trước: Giải SBT Toán 6 Bài 12: Bội chung. Bội chung nhỏ nhất - KNTT
GiaiToan đã chia sẻ xong Bài 2.63 trang 46 SBT Toán lớp 6 - KNTT. Với phần hướng dẫn chi tiết này sẽ giúp ích cho các em có thêm tài liệu tham khảo, củng cố kiến thức cũng như nắm được cách giải các dạng bài tập Chương 2: Tính chia hết trong tập hợp các số tự nhiên. Từ đó chuẩn bị tốt cho bài giảng sắp tới. Ngoài tham khảo tài liệu trên, các em có thể tham khảo thêm các dạng bài tập Toán lớp 6 trong chuyên mục Luyện Tập Toán 6 KNTT, Giải Toán 6 Tập 1 KNTT được GiaiToan biên soạn nhé.
- Lượt xem: 451