Bài 1.60 trang 23 SBT Toán lớp 6 - KNTT Giải sách bài tập Toán 6
Giải bài 1.60 trang 23 SBT Toán lớp 6 tập 1 - Kết nối tri thức được GiaiToan biên soạn và đăng tải. Hướng dẫn các em trả lời câu hỏi trong Bài 6: Lũy thừa với số mũ tự nhiên chi tiết, ngắn gọn giúp các em ôn tập, rèn luyện nâng cao kỹ năng giải bài tập Toán lớp 6. Mời các em cùng tham khảo nội dung dưới đây.
Bài 1.60 trang 23 SBT Toán lớp 6
1. Giải bài 1.60 trang 23 sách bài tập Toán lớp 6
Đề bài:
Không tính các lũy thừa, hãy so sánh:
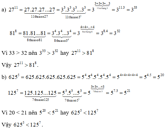
a) 2711 và 818
b) 6255 và 1257
c) 536 và 1124
Phương pháp giải
Đưa các số cần so sánh về dạng 2 lũy thừa có cùng cơ số hoặc cùng số mũ rồi so sánh
Lời giải:


2. Luyện tập kiến thức Toán 6 bài 6
---> Bài liên quan:
>>> Bài tiếp theo: Giải SBT Toán 6 Bài 7: Thứ tự thực hiện các phép tính - KNTT
-----> Câu hỏi cùng bài:
- Bài 1.51 trang 22 SBT Toán lớp 6 - KNTT
- Bài 1.52 trang 22 SBT Toán lớp 6 - KNTT
- Bài 1.53 trang 23 SBT Toán lớp 6 - KNTT
- Bài 1.54 trang 23 SBT Toán lớp 6 - KNTT
- Bài 1.55 trang 23 SBT Toán lớp 6 - KNTT
- Bài 1.56 trang 23 SBT Toán lớp 6 - KNTT
- Bài 1.57 trang 23 SBT Toán lớp 6 - KNTT
- Bài 1.58 trang 23 SBT Toán lớp 6 - KNTT
- Bài 1.59 trang 23 SBT Toán lớp 6 - KNTT
- Bài 1.61 trang 23 SBT Toán lớp 6 - KNTT
>>> Bài trước: Giải SBT Toán 6 Bài 5: Phép nhân và phép chia số tự nhiên - KNTT
Bài 1.60 trang 23 SBT Toán lớp 6 - KNTT được GiaiToan chia sẻ trên đây. Hy vọng với tài liệu này sẽ giúp ích cho các em có thêm tài liệu tham khảo, củng cố kiến thức cũng như nắm được cách giải các dạng bài tập Chương 1: Tập hợp các số tự nhiên. Qua đó chuẩn bị tốt cho bài kiểm tra giữa học kì và cuối học kì lớp 6 môn Toán. Ngoài ra để nâng cao kỹ năng giải bài, các em có thể tham khảo thêm các dạng bài tập Toán lớp 6 trong chuyên mục Luyện Tập Toán 6 KNTT, Giải Toán 6 Tập 1 KNTT được GiaiToan biên soạn để ôn luyện nhé.
- Lượt xem: 327