Bài 1.57 trang 23 SBT Toán lớp 6 - KNTT Giải sách bài tập Toán 6
Giải bài 1.57 trang 23 SBT Toán lớp 6 tập 1 - Kết nối tri thức với cuộc sống được GiaiToan biên soạn và đăng tải. Nhằm hướng dẫn các em giải Bài 6: Lũy thừa với số mũ tự nhiên chi tiết, ngắn gọn giúp các em rèn luyện kỹ năn giài bài Toán lớp 6. Dưới đây là nội dung chi tiết, các em tham khảo nhé.
Bài 1.57 trang 23 SBT Toán lớp 6
1. Giải bài 1.57 trang 23 sách bài tập Toán lớp 6
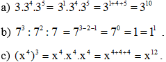
Đề bài:
Viết kết quả các phép tính sau dưới dạng một lũy thừa:
a) 3.34.35
b) 73:72:7
c) (x4)3.
Phương pháp giải
![]()
![]()
![]()
Lời giải:

2. Luyện tập kiến thức Toán 6 bài 6
---> Bài liên quan:
-----> Câu hỏi cùng bài:
- Bài 1.51 trang 22 SBT Toán lớp 6 - KNTT
- Bài 1.52 trang 22 SBT Toán lớp 6 - KNTT
- Bài 1.53 trang 23 SBT Toán lớp 6 - KNTT
- Bài 1.54 trang 23 SBT Toán lớp 6 - KNTT
- Bài 1.55 trang 23 SBT Toán lớp 6 - KNTT
- Bài 1.56 trang 23 SBT Toán lớp 6 - KNTT
- Bài 1.58 trang 23 SBT Toán lớp 6 - KNTT
- Bài 1.59 trang 23 SBT Toán lớp 6 - KNTT
- Bài 1.60 trang 23 SBT Toán lớp 6 - KNTT
- Bài 1.61 trang 23 SBT Toán lớp 6 - KNTT
>>> Bài tiếp theo: Giải SBT Toán 6 Bài 7: Thứ tự thực hiện các phép tính - KNTT
>>> Bài trước: Giải SBT Toán 6 Bài 5: Phép nhân và phép chia số tự nhiên - KNTT
Như vậy GiaiToan đã chia sẻ xong Bài 1.57 trang 23 SBT Toán lớp 6 - KNTT. Hy vọng với phần hướng dẫn giải bài tập chi tiết này sẽ là tài liệu hữu ích cho các em tham khảo, so sánh đánh giá kết quả cũng như nắm được cách giải các dạng bài tập Chương 1: Tập hợp các số tự nhiên. Qua đó chuẩn bị cho bài thi giữa học kì và cuối học kì lớp 6 môn Toán. Ngoài ra để nâng cao kỹ năng giải bài, các em cũng đừng quên tham khảo thêm các dạng bài tập Toán lớp 6 trong chuyên mục Luyện Tập Toán 6 KNTT, Giải Toán 6 Tập 1 KNTT được GiaiToan biên soạn để ôn luyện nhé. Chúc các em học tập tốt.
- Lượt xem: 384