Bài 6 trang 29 SBT Toán lớp 6 - CTST Giải sách bài tập Toán 6
Bài 6 trang 29 SBT Toán lớp 6 tập 1 - Chân trời sáng tạo được GiaiToan biên soạn và đăng tải, hướng dẫn các em trả lời câu 6 nằm trong Bài 10: Số nguyên tố. Hợp số. Phân tích một số ra thừa một số nguyên tố chi tiết, dễ hiểu giúp các em có thêm tài liệu tham khảo, ôn tập củng cố kỹ năng giải Toán lớp 6. Mời các em học sinh cùng xem chi tiết bài giải dưới đây.
Bài 6 trang 29 SBT Toán lớp 6
1. Giải bài 6 trang 29 sách bài tập Toán lớp 6
Đề bài:
Phân tích các số sau ra thừa số nguyên tố bằng hai cách “theo cột dọc” và dùng “sơ đồ cây”:
a) 154;
b) 187;
c) 630.
Lời giải:
a) Cách 1: Phân tích một số ra thừa số nguyên tố theo cột dọc:

Vậy 154 = 2.7.11.
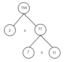
Cách 2 : Phân tích một số ra thừa số nguyên tố bằng sơ đồ cây:

Vậy 154 = 2.7.11.
b) Cách 1: Phân tích một số ra thừa số nguyên tố theo cột dọc:

Vậy 187 = 11.17
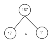
Cách 2 : Phân tích một số ra thừa số nguyên tố bằng sơ đồ cây:

Vậy 187 = 11.17.
c) Cách 1: Phân tích một số ra thừa số nguyên tố theo cột dọc:

Vậy 630 = 2.32.5.7.
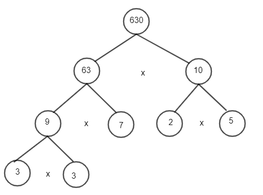
Cách 2 : Phân tích một số ra thừa số nguyên tố bằng sơ đồ cây:

Vậy 630 = 2.32.5.7.
2. Luyện tập kiến thức Toán 6 Số nguyên tố. Hợp số. Phân tích một số ra thừa một số nguyên tố
---> Bài liên quan:
- Giải Toán lớp 6 Bài 10 Số nguyên tố Hợp số Phân tích một số ra thừa số nguyên tố Sách Chân trời sáng tạo
- Toán lớp 6 Bài 10 Số nguyên tố. Hợp số. Phân tích một số ra thừa số nguyên tố Chân trời sáng tạo
>>> Câu hỏi cùng bài
- Bài 1 trang 28 SBT Toán lớp 6 - CTST
- Bài 2 trang 28 SBT Toán lớp 6 - CTST
- Bài 3 trang 28 SBT Toán lớp 6 - CTST
- Bài 4 trang 29 SBT Toán lớp 6 - CTST
- Bài 5 trang 29 SBT Toán lớp 6 - CTST
- Bài 7 trang 29 SBT Toán lớp 6 - CTST
- Bài 8 trang 29 SBT Toán lớp 6 - CTST
- Bài 9 trang 29 SBT Toán lớp 6 - CTST
- Bài 10 trang 29 SBT Toán lớp 6 - CTST
>>> Bài trước: GiaiToan đã chia sẻ xong bài Giải SBT Toán 6 Bài 9: Ước và bội - CTST
GiaiToan đã chia sẻ xong Bài 6 trang 29 SBT Toán lớp 6 - CTST. Hy vọng với phần giải bài tập chi tiết này, các em sẽ nắm được nội dung của bài, từ đó biết cách giải các dạng bài tập Chương 1: Số tự nhiên. Chúc các em học tốt, mời các em tham khảo thêm các dạng bài tập Toán lớp 6 trong chuyên mục Luyện Tập Toán 6 CTST, Giải Toán 6 Tập 1 CTST được GiaiToan biên soạn để ôn tập nhé.
- Lượt xem: 39