Bài 5 trang 33 Toán 6 tập 2 SGK Cánh Diều Giải Toán 6 Tập 2
Bài 5 trang 33 SGK Toán lớp 6
Toán lớp 6 Bài 5 trang 33 So sánh các phân số. Hỗn số dương là lời giải bài SGK Toán 6 tập 2 sách Cánh Diều hướng dẫn chi tiết lời giải giúp cho các em học sinh tham khảo, ôn tập, củng cố kỹ năng giải Toán 6. Mời các em học sinh cùng tham khảo chi tiết.
Giải bài 5 trang 33 Toán lớp 6
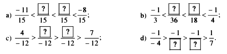
| Bài 5 (SGK trang 33 Toán 6): Chọn số thích hợp cho ? 
 | 
Hướng dẫn giải
- Để so sánh hai phân số không cùng mẫu ta thực hiện các bước sau:
Bước 1: Quy đồng hai phân số đó (về cùng một mẫu dương) .
Bước 2: So sánh các tử với nhau: Phân số nào có tử lớn hơn thì lớn hơn.
Lời giải chi tiết
a) Gọi hai số cần điền là a và b,  khi đó ta có:
 khi đó ta có:

Do các phân số có cùng mẫu số là 15 nên ta so sánh các tử số của các phân số
=> -11 < x < y < -8
Mà 
=> a = -10, b = -9
Vậy hoàn thành phép tính như sau 
b) Gọi hai số cần điền là x và y,  . Khi đó, ta có:
. Khi đó, ta có:

Do các phân số có mẫu số khác nhau mà ta cần so sánh tử số của các phân số cùng mẫu
Suy ra ta cần quy đồng mẫu số các phân số trên.
Ta có:
BCNN(3, 36, 18, 4) = 36 => Mẫu thức chung là 16
Quy đồng mẫu số các phân số ta được biểu thức như sau:

=> -12 < x < 2y < -9
Mà 
=> x = -11 và 2y = -10 => y = -5
Vậy hoàn thành phép tính như sau: 
c) Gọi hai số cần điền là a và b,  . Khi đó, ta có:
. Khi đó, ta có:

Suy ra: 
Do các phân số có cùng mẫu số là 12 nên ta so sánh các tử số của các phân số
=> -4 > -a > -b > -7
Mà 
=> -p = -5, -q = -6
=> p = 5; q = 6
Vậy hoàn thành phép tính như sau: 
d) Gọi hai số cần điền là a và b,  . Khi đó, ta có:
. Khi đó, ta có:

Muốn tìm a và b ta cần so sánh được các mẫu số với nhau. Do đó ta cần đưa các phân số trên về cùng tử số.
Ta thấy ba phân số đầu đều có chung tử số là – 1, nên ta chỉ cần chuyển phân số cuối về tử - 1 như sau:
Mà 
=> a = -5, b = -6
Vậy hoàn thành phép tính như sau: 
----> Bài liên quan: Giải Toán lớp 6 Bài 2 So sánh phân số. Hỗn số dương
------> Câu hỏi tiếp theo:
- Hoạt động 3 (SGK trang 32 Toán 6): a) Tìm thương và số dư trong phép chia 7 cho 4 ...
- Luyện tập 2 (SGK trang 33 Toán 6): Viết mỗi phân số sau thành hỗn số: ...
- Bài 1 (SGK trang 33 Toán 6): So sánh: ...
- Bài 2 (SGK trang 33 Toán 6): Viết các phân số sau theo thứ tự tăng dần: ...
- Bài 3 (SGK trang 33 Toán 6): Bạn Hà thể hiện thời gian trong ngày của mình như hình vẽ ...
- Bài 4 (SGK trang 33 Toán 6): a) Viết các số đo thời gian dưới dạng hỗn số với đơn vị là ...
----------------------------------------
Trên đây là lời giải chi tiết Bài 5 Toán lớp 6 trang 33 So sánh các phân số. Hỗn số dương cho các em học sinh tham khảo, nắm được cách giải các dạng toán của Chương 2: Phân số và số thập phân. Qua đó giúp các em học sinh ôn tập chuẩn bị cho các bài thi giữa và cuối học kì lớp 6.
- Lượt xem: 3.014

 
 
