Luyện tập 1 trang 32 Toán 7 tập 2 SGK Kết nối tri thức với cuộc sống Giải Toán 7 Kết nối tri thức
Luyện tập 1 trang 32 SGK Toán 7 tập 2
Toán 7 tập 2 Luyện tập 1 trang 32 là lời giải bài Phép cộng và phép trừ đa thức một biến SGK Toán 7 sách Kết nối tri thức với cuộc sống hướng dẫn chi tiết lời giải giúp cho các em học sinh tham khảo, ôn tập, củng cố kỹ năng giải Toán 7. Mời các em học sinh cùng tham khảo chi tiết.
Giải Luyện tập 1 Toán 7 trang 32
Luyện tập 1 (SGK trang 32): Cho hai đa thức M = 0,5x4 - 4x3 + 2x - 2,5 và N = 2x3 + x2 + 1,5 Hãy tính tổng M + N (trình bày theo hai cách) |
Hướng dẫn giải
Để cộng (trừ) hai đa thức một biến ta có thể thực hiện theo một trong hai cách sau:
+ Cách 1: Nhóm các đơn thức cùng lũy thừa của biến rồi thực hiện phép cộng (trừ).
+ Cách 2: Sắp xếp các đơn thức của đa thức theo thứ tự lũy thừa tăng dần (hoặc giảm dần) của biến và đặt tính dọc sao cho lũy thừa giống nhau ở hai đa thức thẳng cột với nhau rồi thực hiện cộng (trừ) theo cột.
Lời giải chi tiết
Thực hiện phép tính như sau:
Cách 1: Phương pháp nhóm các hạng tử cùng bậc
M + N = (0,5x4 - 4x3 + 2x - 2,5) + (2x3 + x2 + 1,5)
= 0,5x4 - 4x3 + 2x - 2,5 + 2x3 + x2 + 1,5 ---> Bỏ dấu ngoặc
= 0,5x4 + (-4x3 + 2x3) + x2 + 2x + (-2,5 + 1,5) ---> Nhóm các hạng tử cùng bậc
= 0,5x4 + (-2x3) + x2 + 2x + (-1)
= 0,5x4 - 2x3 + x2 + 2x - 1
Vậy M + N = 0,5x4 - 2x3 + x2 + 2x – 1
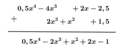
Cách 2: Đặt tính rồi tính

Vậy M + N = 0,5x4 - 2x3 + x2 + 2x – 1
---> Câu hỏi tiếp theo: Vận dụng 1 trang 32 SGK Toán 7 tập 2
----------------------------------------
Trên đây là lời giải chi tiết Luyện tập 1 Toán 7 trang 32 Phép cộng và phép trừ đa thức một biến cho các em học sinh tham khảo, nắm được cách giải các dạng toán của Chương 7: Biểu thức đại số và đa thức một biến. Qua đó giúp các em học sinh ôn tập chuẩn bị cho các bài thi giữa và cuối học kì lớp 7. Chúc các em học tốt.
- Lượt xem: 3.034