Bài 2.9 trang 32 SBT Toán lớp 6 - KNTT Giải sách bài tập Toán 6
Giải bài 2.9 trang 32 SBT Toán lớp 6 tập 1 - Kết nối tri thức với cuộc sống được GiaiToan biên soạn và đăng tải. Hướng dẫn các em giải bài 2.9 trang 32 nằm trong Bài 8: Quan hệ chia hết và tính chất chi tiết, giúp các em tham khảo, ôn tập, rèn luyện kỹ năng giải bài Toán lớp 6. Dưới đây là nội dung chính của bài, các em tham khảo nhé.
Bài 2.9 trang 32 SBT Toán lớp 6
1. Giải bài 2.9 trang 32 sách bài tập Toán lớp 6
Đề bài:
a) Tại sao tổng 22 + 23 + 24 + 25 chia hết cho 3?
b) Tại sao tổng 420 + 421 + 422 +423 chia hết cho 5?
Phương pháp giải
+ Nhóm 2 số hạng, ta được từng tổng nhỏ chia hết cho 3 (câu a) (hoặc 5 (câu b))
+ Nếu x, y cùng chia hết cho a thì tổng x+y cũng chia hết cho a
Lời giải:
a) Ta có: 22 + 23 + 24 + 25

Vì 3 ⁝ 3 nên 3.(22 + 24) 3 hay (22 + 23 + 24 + 25) 3
Vậy tổng 22 + 23 + 24 + 25 chia hết cho 3
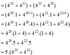
b) Ta có: 420 + 421 + 422 +423

Vì 5 ⁝ 5 nên 5.(420 + 422) 5 hay (420 + 421 + 422 +423) 5
Vậy tổng 420 + 421 + 422 +423 chia hết cho 5.
2. Luyện tập kiến thức Toán 6 Quan hệ chia hết và tính chất
---> Bài liên quan:
- Giải Toán lớp 6 Bài 8 Quan hệ chia hết và tính chất Sách Kết nối tri thức với cuộc sống
- Toán lớp 6 Bài 8 Quan hệ chia hết và tính chất Sách Kết nối tri thức với cuộc sống
-----> Câu hỏi cùng bài:
- Bài 2.1 trang 31 SBT Toán lớp 6 - KNTT
- Bài 2.2 trang 31 SBT Toán lớp 6 - KNTT
- Bài 2.3 trang 31 SBT Toán lớp 6 - KNTT
- Bài 2.4 trang 31 SBT Toán lớp 6 - KNTT
- Bài 2.5 trang 31 SBT Toán lớp 6 - KNTT
- Bài 2.6 trang 31 SBT Toán lớp 6 - KNTT
- Bài 2.7 trang 31 SBT Toán lớp 6 - KNTT
- Bài 2.8 trang 32 SBT Toán lớp 6 - KNTT
- Bài 2.10 trang 32 SBT Toán lớp 6 - KNTT
- Bài 2.11 trang 32 SBT Toán lớp 6 - KNTT
>>> Bài tiếp theo: Giải SBT Toán 6 Bài 9: Dấu hiệu chia hết - KNTT
>>> Bài trước: Giải SBT Toán 6: Ôn tập chương 1 trang 29 - KNTT
Bài 2.9 trang 32 SBT Toán lớp 6 - KNTT được GiaiToan chia sẻ dưới đây. Hy vọng phần hướng dẫn giả bài này sẽ là tài liệu tham khảo hữu ích cho các em so sánh đánh giá kết quả, đồng thời nắm được cách giải các dạng bài tập Chương 2: Tính chia hết trong tập hợp các số tự nhiên. Từ đó chuẩn bị tốt cho các bài kiểm tra Toán lớp 6 sắp tới. Ngoài tham khảo tài liệu trên, các em có thể tham khảo thêm các dạng bài tập Toán lớp 6 trong chuyên mục Luyện Tập Toán 6 KNTT, Giải Toán 6 Tập 1 KNTT được GiaiToan biên soạn nhé để ôn luyện nhé.
- Lượt xem: 303