Bài 11 trang 42 Toán 7 tập 2 SGK Chân trời sáng tạo Giải Toán 7 Chân trời sáng tạo
Bài 11 trang 42 SGK Toán 7 tập 2
Toán lớp 7 tập 2 Bài 11 trang 42 thuộc bài tập cuối chương 7 được GiaiToan hướng dẫn chi tiết giúp cho các em học sinh tham khảo, ôn tập, củng cố kỹ năng giải Toán 7.
Giải Bài 11 Toán 7 tập 2 SGK trang 42
Bài 11 (SGK trang 42): Thực hiện phép chia.
a)
;
b)
.
Lời giải:
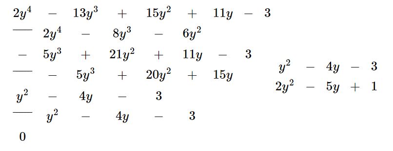
a) Thực hiện đặt phép chia ta được:

Vậy
=
.
b) Thực hiện phép chia ta được:

Vậy
=
.
Câu hỏi trong bài: Giải Toán 7 Bài tập cuối chương 7 trang 42 CTST
Câu hỏi cùng bài:
- Bài 10 (SGK trang 42): Thực hiện phép chia...
- Bài 9 (SGK trang 42): Thực hiện phép nhân....
- Bài 8 (SGK trang 42): Cho đa thức...
Bài tiếp theo: Giải Toán 7 Bài 1: Góc và cạnh của một tam giác
Bài 11 trang 42 Toán 7 tập 2 SGK CTST được GiaiToan đăng tải lời giải chi tiết cho các em học sinh tham khảo, nắm được cách giải các dạng toán của Chương 7: Biểu thức đại số. Qua đó giúp các em học sinh ôn tập chuẩn bị cho các bài thi giữa và cuối học kì lớp 7 đạt kết quả cao. Ngoài ra Giaitoan mời thầy cô và học sinh tham khảo thêm các câu hỏi, bài tập hay bài học khác trong chuyên mục Toán 7 sách Chân trời sáng tạo.
- Lượt xem: 347
