Vận dụng 2 trang 39 Toán 7 tập 2 SGK Chân trời sáng tạo Giải Toán 7 Chân trời sáng tạo
Vận dụng 2 trang 39 SGK Toán 7 tập 2
Toán lớp 7 tập 2 Vận dụng 2 trang 39 là lời giải bài 4 Phép nhân và phép chia đa thức một biến được GiaiToan hướng dẫn chi tiết lời giải giúp cho các em học sinh tham khảo, ôn tập, củng cố kỹ năng giải Toán 7.
Giải Vận dụng 2 Toán 7 tập 2 SGK trang 39
Vận dụng 2 (SGK trang 39): Thực hiện các phép chia sau:
và ![]()
Lời giải:
+) Ta có ![]()
=
= ![]()
Vậy
= ![]()
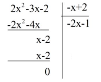
+)
ta đặt phép tính:

Vậy
= ![]()
Câu hỏi trong bài: Giải Toán 7 Bài 4: Phép nhân và phép chia đa thức một biến
Câu hỏi cùng bài:
- Thực hành 3 (SGK trang 39): Thực hiện phép chia...
- Vận dụng 3 (SGK trang 39): Tính diện tích đáy của một hình hộp chữ nhật...
- Thực hành 4 (SGK trang 40): Thực hiện phép tính...
- Bài 1 (SGK trang 40): Thực hiện phép nhân....
Vận dụng 2 trang 39 Toán 7 tập 2 SGK CTST được GiaiToan đăng tải lời giải chi tiết cho các em học sinh tham khảo, nắm được cách giải các dạng toán của Chương 7: Biểu thức đại số. Qua đó giúp các em học sinh ôn tập chuẩn bị cho các bài thi giữa và cuối học kì lớp 7 đạt kết quả cao. Ngoài ra Giaitoan mời thầy cô và học sinh tham khảo thêm các câu hỏi, bài tập hay bài học khác trong chuyên mục Toán 7 sách Chân trời sáng tạo.
- Lượt xem: 1.046
