Thực hành 2 trang 35 Toán 7 tập 2 SGK Chân trời sáng tạo Giải Toán 7 Chân trời sáng tạo
Thực hành 2 trang 35 SGK Toán 7 tập 2
Toán lớp 7 tập 2 Thực hành 2 trang 35 là lời giải bài Phép cộng và phép trừ đa thức một biến SGK Toán 7 sách Chân trời sáng tạo hướng dẫn chi tiết lời giải giúp cho các em học sinh tham khảo, ôn tập, củng cố kỹ năng giải Toán 7. Mời các em học sinh cùng tham khảo chi tiết.
Giải Thực hành 2 Toán 7 tập 2 SGK trang 35
Thực hành 2 (SGK trang 35): Cho hai đa thức P(x) = 2x3 - 9x2 + 5 và Q(x) = -2x2 - 4x3 + 7x. Hãy tính P(x) - Q(x) bằng hai cách. |
Hướng dẫn giải
- Để cộng (hoặc trừ) hai đa thức cùng biến ta nhóm các đơn thức cùng lũy thừa của biến rồi thực hiện phép cộng (hoặc trừ).
- Cho A, B, C lần lượt là các đa thức một biến có cùng biến số. Ta có:
A + B = B + A
A + (B + C) = (A + B) + C
Lời giải chi tiết
Thực hiện phép tính như sau:
Cách 1:
P(x) - Q(x) = (2x3 - 9x2 + 5) - (-2x2 - 4x3 + 7x)
P(x) - Q(x) = 2x3 - 9x2 + 5 + 2x2 + 4x3 - 7x
P(x) - Q(x) = (2x3 + 4x3) + (-9x2 + 2x2) - 7x + 5
P(x) - Q(x) = 6x3 - 7x2 - 7x + 5
Vậy P(x) - Q(x) = 6x3 - 7x2 - 7x + 5
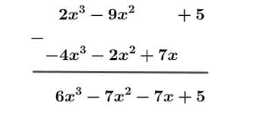
Cách 2: Đặt tính rồi tính:
Q(x) = -2x2 - 4x3 + 7x = - 4x3 - 2x2 + 7x
Thực hiện phép tính như sau:

----> Câu hỏi tiếp theo: Thực hành 3 trang 35 SGK Toán 7 tập 2
----------------------------------------
Trên đây là lời giải chi tiết Thực hành 2 Toán lớp 7 trang 35 Phép cộng và phép trừ đa thức một biến cho các em học sinh tham khảo, nắm được cách giải các dạng toán của Chương 6: các đại lượng tỉ lệ. Qua đó giúp các em học sinh ôn tập chuẩn bị cho các bài thi giữa và cuối học kì lớp 7. Ngoài ra Giaitoan mời thầy cô và học sinh tham khảo thêm một số tài liệu liên quan: Luyện tập Toán 7, Đề thi giữa học kì 1 Toán 7, Đề thi học kì 1 Toán 7, ....Chúc các em học tốt.
- Lượt xem: 1.211
