Luyện tập 1 trang 55 Toán 7 tập 2 SGK Cánh Diều Giải Toán 7 Cánh Diều
Luyện tập 1 trang 55 SGK Toán 7 tập 2
Luyện tập 1 trang 55 Toán 7 tập 2 SGK CD thuộc bài 3: Phép cộng, phép trừ đa thức một biến được hướng dẫn chi tiết giúp cho các em học sinh tham khảo, ôn tập, củng cố kỹ năng giải Toán 7.
Giải Luyện tập 1 Toán 7 tập 2 SGK trang 55
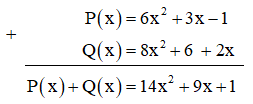
Luyện tập 1 (SGK trang 55): Để cộng hai đa thức P(x), Q(x), bạn Dũng viết như dưới đây có đúng không? Vì sao? Nếu chưa đúng, em hãy sửa lại cho đúng.

Bạn Dũng viết như trên là không đúng do hai đơn thức có cùng số mũ của biến chưa ở cùng cột.
Sửa lại như sau:

Câu hỏi trong bài: Giải Toán 7 Bài 3: Phép cộng, phép trừ đa thức một biến
Câu hỏi cùng bài:
- Hoạt động 3 (SGK trang 56): Cho hai đa thức:
... - Luyện tập 2 (SGK trang 56): Tính tổng của hai đa thức sau bằng hai cách....
- Hoạt động 4 (SGK trang 57): a) Thực hiện phép trừ trong mỗi trường hợp....
Bài tiếp theo: Giải Toán 7 Bài 4: Phép nhân đa thức một biến
Trên đây là lời giải Luyện tập 1 trang 55 Toán 7 tập 2 SGK Cánh Diều chi tiết cho các em học sinh tham khảo, nắm được cách giải các dạng toán của Chương 6: Biểu thức đại số. Nhằm giúp các em học sinh ôn tập chuẩn bị cho các bài thi giữa và cuối học kì lớp 7 đạt kết quả cao, GiaiToan mời các bạn tham khảo thêm chuyên mục SGK Toán 7 sách Cánh Diều. Chúc các em học tốt. Mời thầy cô và học sinh tham khảo thêm tài liệu: Giải Toán 7 tập 2 KNTT, Giải Toán 7 Chân trời sáng tạo tập 2.
- Lượt xem: 227