Hoạt động 5 trang 27 Toán 6 tập 2 SGK Cánh Diều Giải Toán 6 Cánh Diều
Hoạt động 5 trang 27 SGK Toán lớp 6
Toán lớp 6 Hoạt động 5 trang 27 Phân số với tử và mẫu là số nguyên là lời giải bài tập SGK Toán 6 tập 2 sách Cánh Diều hướng dẫn chi tiết lời giải giúp cho các em học sinh tham khảo, ôn tập, củng cố kỹ năng giải Toán 6. Mời các em học sinh cùng tham khảo chi tiết.
Giải Hoạt động 5 trang 27 Toán lớp 6
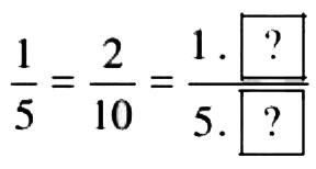
Hoạt động 5 (SGK trang 27 Toán 6): Ta có: Tìm số nguyên thích hợp ở ô trống:
b) Ta có: Tìm số nguyên thích hợp ở ô trống
|
Hướng dẫn giải
Nếu nhân cả tử và mẫu của một phân số với cùng một số nguyên khác 0 thì ta được một phân số bằng phân số đã cho.
Nếu ra chia cả tử và mẫu của một phân số cho cùng một ước chung của chúng thì ta được một phân số bằng với phân số đã cho.
Lời giải chi tiết
a) Ta có:
vì 1.10 = 5.2 = 10
Nên ta điền vào ô trống như sau: ![]()
b) Ta có: ![]()
Đồng thời 4: (-4) = -1; 24 : (-4) = -6
Vậy điền vào ô trống như sau: ![]()
-------> Bài liên quan: Giải Toán lớp 6 Bài 1 Phân số với tử và mẫu là số nguyên
------> Câu hỏi cùng bài:
- Hoạt động 4 (SGK trang 26 Toán 6): Xét hai phân số bằng nhau
và
... - Luyện tập 3 (SGK trang 27 Toán 6): Các cặp phân số sau có bằng nhau không? Vì sao? ...
- Luyện tập 4 (SGK trang 28 Toán 6): Viết phân số sau thành phân số bằng nó ...
- Hoạt động 6 (SGK trang 28 Toán 6): Nêu cách rút gọn phân số với tử và mẫu ...
- Hoạt động 7 (SGK trang 29 Toán 6): Nêu cách quy đồng mẫu nhiều phân số có tử ...
- Luyện tập 5 (SGK trang 30 Toán 6): Quy đồng mẫu những phân số sau: ...
- Bài 1 (SGK trang 30 Toán 6): Viết và đọc phân số trong mỗi trường hợp sau: ...
- Bài 2 (SGK trang 30 Toán 6): Các cặp phân số sau có bằng nhau không? Vì sao? ...
- Bài 3 (SGK trang 30 Toán 6): Tìm số nguyên x, biết: ...
- Bài 4 (SGK trang 30 Toán 6): Rút gọn mỗi phân số sau về phân số tối giản: ...
- Bài 5 (SGK trang 30 Toán 6): a) Rút gọn phân số
về phân số tối giản ...
----------------------------------------
Trên đây là lời giải chi tiết Hoạt động 5 Toán lớp 6 trang 27 Phân số với tử và mẫu là số nguyên cho các em học sinh tham khảo, nắm được cách giải các dạng toán của Chương 5: Phân số và số thập phân. Qua đó giúp các em học sinh ôn tập chuẩn bị cho các bài thi giữa và cuối học kì lớp 6.
- Lượt xem: 1.161

