Bài 48 trang 46 SGK Toán 7 tập 2
Giải Toán 7 Bài 8 Cộng trừ đa thức một biến
Bài 48 trang 46 SGK Toán 7 tập 2 với lời giải chi tiết, rõ ràng theo khung chương trình sách giáo khoa Toán 7. Tài liệu được biên soạn và đăng tải với hướng dẫn chi tiết các bài tập tương ứng với từng bài học trong sách giúp cho các bạn học sinh ôn tập và củng cố các dạng bài tập, rèn luyện kỹ năng giải môn Toán. Chúc các bạn học tập tốt!
Bài 48 Trang 46 SGK Toán 7 - Tập 2
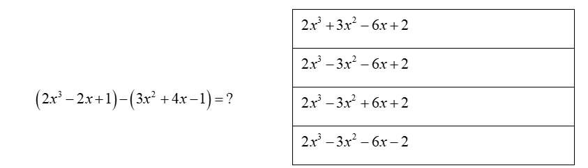
Bài 48 (SGK trang 46): Chọn đa thức mà em cho là kết quả đúng:
|
Lời giải chi tiết


-----------------------------------------------------
Trên đây là lời giải chi tiết Bài 48 trang 46 SGK Toán 7 tập 2 cho các em học sinh tham khảo, nắm được cách giải các dạng toán của Chương 4 Biểu thức đại số Toán 7 Tập 2. Với lời giải hướng dẫn chi tiết các bạn có thể so sánh kết quả của mình từ đó nắm chắc kiến thức Toán lớp 7. Chúc các bạn học tốt và nhớ thường xuyên tương tác với GiaiToan để có thêm nhiều tài liệu chất lượng miễn phí nhé!
Xem thêm bài viết khác

Câu hỏi trang 45 SGK Toán 7 tập 2

Bài 44 trang 45 SGK Toán 7 tập 2

Bài 45 trang 45 SGK Toán 7 tập 2

Bài 46 trang 45 SGK Toán 7 tập 2

Bài 47 trang 45 SGK Toán 7 tập 2

Bài 49 trang 46 SGK Toán 7 tập 2

Giải Toán 7 Luyện tập chung trang 10 Sách Kết nối tri thức

Bài 66 trang 87 SGK Toán 7 tập 2

Bài 6 trang 28 SGK Toán 7 tập 2

Bài 10.4 trang 90 Toán 7 tập 2 SGK Kết nối tri thức với cuộc sống

Bài 6.30 trang 20 Toán 7 tập 2 SGK Kết nối tri thức với cuộc sống

Bài 6.29 trang 20 Toán 7 tập 2 SGK Kết nối tri thức với cuộc sống












