Bài 4 trang 67 Toán 7 tập 2 SGK Cánh Diều Giải Toán 7 Cánh Diều
Bài 4 trang 67 SGK Toán 7 tập 2
Lời giải Bài 4 trang 67 Toán 7 tập 2 SGK CD thuộc bài 5: Phép chia đa thức một biến được hướng dẫn chi tiết giúp cho các em học sinh tham khảo, ôn tập, củng cố kỹ năng giải Toán 7.
Giải Bài 4 Toán 7 tập 2 SGK trang 67
Bài 4 (SGK trang 67): Tính:
a) ![]()
b) ![]()
c) ![]()
d) ![]()
Lời giải:
a) Thực hiện phép tính ta được:

Vậy
= ![]()
b) Thực hiện phép tính ta được:

Vậy
= ![]()
c) Thực hiện phép tính ta được:

Vậy
=
.
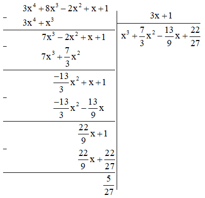
d) Thực hiện phép tính ta được:

Câu hỏi trong bài: Giải Toán 7 Bài 5: Phép chia đa thức một biến
Câu hỏi cùng bài:
- Bài 5 (SGK trang 67): Một công ty sau khi tăng giá 30 nghìn đồng mỗi sản phẩm....
- Bài 6 (SGK trang 67): Một hình hộp chữ nhật có thể tích....
Bài tiếp theo: Giải Toán 7 Bài 1: Tổng các góc của một tam giác
Trên đây là lời giải Bài 4 trang 67 Toán 7 tập 2 SGK Cánh Diều chi tiết cho các em học sinh tham khảo, nắm được cách giải các dạng toán của Chương 6: Biểu thức đại số. Nhằm giúp các em học sinh ôn tập chuẩn bị cho các bài thi giữa và cuối học kì lớp 7 đạt kết quả cao, GiaiToan mời các bạn tham khảo thêm chuyên mục SGK Toán 7 sách Cánh Diều. Chúc các em học tốt. Mời thầy cô và học sinh tham khảo thêm tài liệu: Giải Toán 7 tập 2 KNTT, Giải Toán 7 Chân trời sáng tạo tập 2.
- Lượt xem: 908