Bài 4 trang 40 Toán 7 tập 2 SGK Chân trời sáng tạo Giải Toán 7 Chân trời sáng tạo
Bài 4 trang 40 SGK Toán 7 tập 2
GiaiToan mời các bạn tham khảo lời giải Toán lớp 7 tập 2 Bài 4 trang 40 thuộc bài 4 Phép nhân và phép chia đa thức một biến được hướng dẫn chi tiết giúp cho các em học sinh tham khảo, ôn tập, củng cố kỹ năng giải Toán 7.
Giải Bài 4 Toán 7 tập 2 SGK trang 40
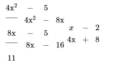
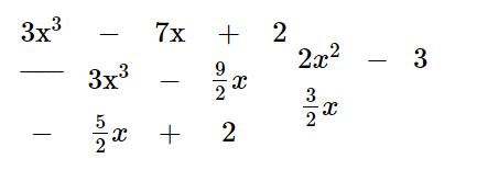
Bài 4 (SGK trang 40): Thực hiện phép chia.
a)
;
b)
.
Lời giải:
a) Thực hiện đặt phép chia ta được:

Vậy
.
b) Thực hiện đặt phép chia ta được:

Vậy
= ![]()
Câu hỏi trong bài: Giải Toán 7 Bài 4: Phép nhân và phép chia đa thức một biến
Câu hỏi cùng bài:
- Bài 5 (SGK trang 40): Tính chiều dài của một hình chữ nhật có diện tích bằng...
- Bài 6 (SGK trang 40): Cho hình hộp chữ nhật có thể tích bằng...
Bài 4 trang 40 Toán 7 tập 2 SGK CTST được GiaiToan đăng tải lời giải chi tiết cho các em học sinh tham khảo, nắm được cách giải các dạng toán của Chương 7: Biểu thức đại số. Qua đó giúp các em học sinh ôn tập chuẩn bị cho các bài thi giữa và cuối học kì lớp 7 đạt kết quả cao. Ngoài ra Giaitoan mời thầy cô và học sinh tham khảo thêm các câu hỏi, bài tập hay bài học khác trong chuyên mục Toán 7 sách Chân trời sáng tạo.
- Lượt xem: 477
