Bài 4 trang 123 Toán lớp 4 Luyện tập chung (Tiết 111)
Giải Toán lớp 4
Bài 4 Luyện tập chung Toán lớp 4 trang 123 (Tiết 111)
Toán lớp 4 trang 123 Bài 4 là lời giải bài Luyện tập chung SGK Toán 4; với hướng dẫn chi tiết lời giải giúp cho các em học sinh tham khảo, ôn tập, củng cố kỹ năng giải Toán. Mời các em học sinh cùng tham khảo chi tiết.
Giải Bài 4 Luyện tập chung Toán lớp 4 trang 123
Đề bài: Tính:
| a) | b) |
Hướng dẫn:
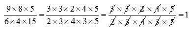
Khi phân số có tử số và mẫu số gồm tích của các thừa số, ta chia lần lượt các thừa số giống nhau xuất hiện ở trên tử số và mẫu số.
Lời giải:
a)

b)

------------
Trên đây là lời giải chi tiết Toán lớp 4 Luyện tập chung trang 123 Bài 4 cho các em học sinh tham khảo, nắm được cách giải các dạng toán Chương 4: Phân số - Các phép tính với phân số - Giới thiệu hình thoi. Qua đó giúp các em học sinh ôn tập chuẩn bị cho các bài thi giữa và cuối học kì lớp 4.
Xem thêm bài viết khác

Bài 5 trang 124 Toán lớp 4 Luyện tập chung (Tiết 112)

Bài 2 trang 125 Toán lớp 4 Luyện tập chung

Bài 4 trang 124 Toán lớp 4 Luyện tập chung (Tiết 112)

Bài 3 trang 124 Toán lớp 4 Luyện tập chung (Tiết 112)

Bài 2 trang 123 Toán lớp 4 Luyện tập chung (Tiết 112)

Bài 1 trang 123 Toán lớp 4 Luyện tập chung (Tiết 112)

Bài 1 trang 80 Toán lớp 4

Bài 2 trang 149 Toán lớp 4 Luyện tập

Bài 3 trang 41 Toán lớp 4

Bài 4 trang 118 Toán lớp 4 Luyện tập

Bài 3 trang 134 Toán lớp 4

Bài 3 trang 68 Toán lớp 4 Luyện tập
Sắp xếp theo
Xóa Đăng nhập để Gửi











