Bài 4 trang 114 Toán lớp 4 Luyện tập
Bài 4 Luyện tập Toán lớp 4 trang 114
Toán lớp 4 trang 114 Bài 4 là lời giải bài Luyện tập SGK Toán 4; với hướng dẫn chi tiết lời giải giúp cho các em học sinh tham khảo, ôn tập, củng cố kỹ năng giải Toán. Mời các em học sinh cùng tham khảo chi tiết.
Giải Bài 4 Luyện tập Toán lớp 4 trang 114
Đề bài: Tính (theo mẫu):
| a) | b) | c) |
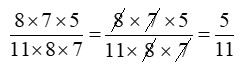
Mẫu:

Chú ý: Trong mẫu trên, ta đã cùng chia nhẩm tích ở trên và tích ở dưới gạch ngang cho 3, rồi cùng chia nhẩm cho 5.
Hướng dẫn:
Thực hiện rút gọn phân số theo mẫu, tìm các số giống nhau ở trên tử số và mẫu số để rút gọn.
Lời giải:
b)

c)

------------
Trên đây là lời giải chi tiết Toán lớp 4 Luyện tập trang 114 Bài 4 cho các em học sinh tham khảo, nắm được cách giải các dạng toán Chương 4: Phân số - Các phép tính với phân số - Giới thiệu hình thoi. Qua đó giúp các em học sinh ôn tập chuẩn bị cho các bài thi giữa và cuối học kì lớp 4.
Xem thêm bài viết khác

Bài 2 trang 117 Toán lớp 4

Bài 3 trang 117 Toán lớp 4 Luyện tập

Giải Toán lớp 4 trang 116, 117

Bài 2 trang 117 Toán lớp 4 Luyện tập

Giải Toán lớp 4 trang 117, 118

Bài 1 trang 117 Toán lớp 4 Luyện tập

Bài 4 trang 24 Toán lớp 4

Giải Toán lớp 4 trang 5

Bài 2 trang 139 Toán lớp 4 Luyện tập chung (Tiết 131)

Bài 3 trang 133 Toán lớp 4 Luyện tập

Bài 3 trang 82 Toán lớp 4

Bài 2 trang 28 Toán lớp 4











