Bài 2 trang 75 Toán lớp 1 tập 1 SGK Chân trời sáng tạo Giải Toán lớp 1
Bài 2 Toán lớp 1 trang 75 sách Chân trời sáng tạo
Toán lớp 2 trang 75 Bài 2 là lời giải bài Ôn tập học kì 1 SGK Toán 1 sách Chân trời sáng tạo; với hướng dẫn chi tiết lời giải giúp cho các em học sinh tham khảo, ôn tập, củng cố kỹ năng giải Toán. Mời các em học sinh cùng tham khảo chi tiết.
Giải Bài 2 Toán lớp 1 trang 75
Đề bài: Nói theo tranh.

Hướng dẫn:
Các em học sinh quan sát tranh dựa vào kiến thức đã được học để điền các số thích hợp vào ô trống, sau đó sử dụng công thức tách – gộp để viết các phép tính thích hợp.

Lời giải:
Số | Phép tính | |
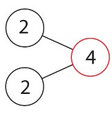
a) Có 2 con bò vàng và 2 con bò sữa. Có tất cả 4 con bò. Có tất cả 4 con bò, trong đó có 2 con bò vàng, còn lại 2 con bò sữa. | ![]() | 2 + 2 = 4 4 – 2 = 2 |
b) Có 6 con gà đang ăn, thêm 4 con gà chạy tới. Có tất cả 10 con gà. | ![]() | 6 + 4 = 10 |
c) Có 5 con chim sáo, 3 con bay đi, còn lại 2 con. | ![]() | 5 – 3 = 2 |
d) Có 1 con trâu, 2 con bò vàng và 2 con bò sữa. Có tất cả 5 con trâu và bò. | ![]() | 1 + 2 + 2 = 5 |
-----> Bài tiếp theo: Bài 3 trang 75 Toán lớp 1 tập 1 SGK Chân trời sáng tạo
------------
Trên đây là lời giải chi tiết Toán lớp 1 trang 75 Bài 2 cho các em học sinh tham khảo, nắm được cách giải các dạng toán của Chủ đề 3: Phép cộng, phép trừ trong phạm vi 10. Qua đó giúp các em học sinh ôn tập chuẩn bị cho các bài thi giữa và cuối học kì lớp 1.
- Lượt xem: 942




