Bài 18 trang 35 SGK Toán 7 tập 2
Giải Toán 7 Bài 4 Đơn thức đồng dạng
Bài 18 trang 35 SGK Toán 7 tập 2 với lời giải chi tiết, rõ ràng theo khung chương trình sách giáo khoa Toán 7. Tài liệu được biên soạn và đăng tải với hướng dẫn chi tiết các bài tập tương ứng với từng bài học trong sách giúp cho các bạn học sinh ôn tập và củng cố các dạng bài tập, rèn luyện kỹ năng giải môn Toán. Chúc các bạn học tập tốt!
Bài 18 Trang 35 SGK Toán 7 - Tập 2
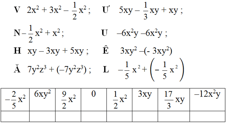
Bài 18 (SGK trang 35): Đố: Tên của tác giả cuốn Đại Việt sử kí dưới thời vua Trần Nhân Tông được đặt cho một đường phố của thủ đô Hà Nội. Em sẽ biết tên tác giả đó bằng cách tính các tổng và hiệu dưới đây rồi viết chữ tương ứng vào ô dưới kết quả đơn thức cho trong bảng sau:
|
Hướng dẫn giải
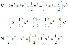
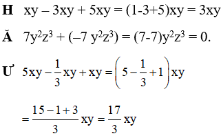
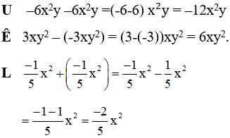
- Để cộng (hay trừ) các đơn thức đồng dạng, ta cộng (hay trừ) các hệ số với nhau và giữ nguyên phần biến.
Lời giải chi tiết
Trước hết ta thu gọn các đơn thức đồng dạng để xác định mỗi chữ cái tương ứng với kết quả nào trong ô trống của bảng.




Vậy tên tác giả cuốn Đại Việt sử kí là LÊ VĂN HƯU
-----------------------------------------------------
Trên đây là lời giải chi tiết Bài 18 trang 35 SGK Toán 7 tập 2 cho các em học sinh tham khảo, nắm được cách giải các dạng toán của Chương 4 Biểu thức đại số Toán 7 Tập 2. Với lời giải hướng dẫn chi tiết các bạn có thể so sánh kết quả của mình từ đó nắm chắc kiến thức Toán lớp 7. Chúc các bạn học tốt và nhớ thường xuyên tương tác với GiaiToan để có thêm nhiều tài liệu chất lượng miễn phí nhé!
Xem thêm bài viết khác

Câu hỏi 2 trang 33 SGK Toán 7 tập 2

Giải Toán 7 Bài 4 Đơn thức đồng dạng

Bài 15 trang 34 SGK Toán 7 tập 2

Bài 16 trang 34 SGK Toán 7 tập 2

Bài 17 trang 35 SGK Toán 7 tập 2

Bài 19 trang 36 SGK Toán 7 tập 2

Bài 24 trang 38 SGK Toán 7 tập 2

Bài 4 trang 89 SGK Toán 7 tập 2

Bài 6.24 trang 18 Toán 7 tập 2 SGK Kết nối tri thức với cuộc sống

Bài 6.35 trang 21 Toán 7 tập 2 SGK Kết nối tri thức với cuộc sống

Bài 7.12 trang 33 Toán 7 tập 2 SGK Kết nối tri thức với cuộc sống

Bài 6.13 trang 10 Toán 7 tập 2 SGK Kết nối tri thức với cuộc sống












