Bài 1 trang 70 Toán lớp 1 tập 1 SGK Chân trời sáng tạo Giải Toán lớp 1
Bài 1 Toán lớp 1 trang 70 sách Chân trời sáng tạo
Toán lớp 2 trang 70 Bài 1 là lời giải bài Em làm được những gì? SGK Toán 1 sách Chân trời sáng tạo; với hướng dẫn chi tiết lời giải giúp cho các em học sinh tham khảo, ôn tập, củng cố kỹ năng giải Toán. Mời các em học sinh cùng tham khảo chi tiết.
Giải Bài 1 Toán lớp 1 trang 70
Đề bài: Bảng cộng – bảng trừ trong phạm vi 10.
a) Đọc bảng cộng, theo hàng, theo cột, theo màu.

b) Đọc bảng trừ theo hàng, theo cột.

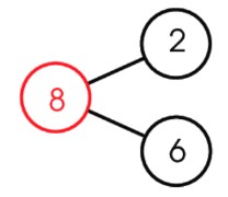
c) Đọc 4 phép tính từ sơ đồ sau.

Hướng dẫn:
Các em học sinh dựa vào kiến thức đã được học về phép cộng, phép trừ trong phạm vi 10 để thực hiện đọc bảng cộng và bảng trừ.
Lời giải:
Đọc 4 phép tính từ sơ đồ tách gộp:
2 + 6 = 8
6 + 2 = 8
8 – 2 = 6
8 – 6 = 2
-----> Bài tiếp theo: Bài 2 trang 71 Toán lớp 1 tập 1 SGK Chân trời sáng tạo
------------
Trên đây là lời giải chi tiết Toán lớp 1 trang 70 Bài 1 cho các em học sinh tham khảo, nắm được cách giải các dạng toán của Chủ đề 3: Phép cộng, phép trừ trong phạm vi 10. Qua đó giúp các em học sinh ôn tập chuẩn bị cho các bài thi giữa và cuối học kì lớp 1.
- Lượt xem: 748
