Bài 5 trang 118 Toán lớp 4 Luyện tập Giải Toán lớp 4
Bài 5 Luyện tập Toán lớp 4 trang 118
Toán lớp 4 trang 118 Bài 5 là lời giải bài Luyện tập SGK Toán 4; với hướng dẫn chi tiết lời giải giúp cho các em học sinh tham khảo, ôn tập, củng cố kỹ năng giải Toán. Mời các em học sinh cùng tham khảo chi tiết.
Giải Bài 5 Luyện tập Toán lớp 4 trang 118
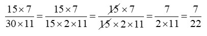
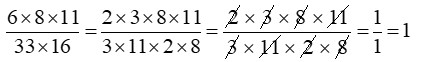
Đề bài: Tính (theo mẫu):
| a) | b) | c) |
Mẫu:

Hướng dẫn:
Thực hiện rút gọn phân số theo mẫu.
Nếu tử số và mẫu số gồm tích mà có các thừa số giống nhau, ta thực hiện rút gọn các thừa số giống nhau đó.
Lời giải:
a)

b)

c)

-----> Câu hỏi tiếp theo: Bài 1 trang 118 Toán lớp 4 Luyện tập chung
Bài tiếp theo: Giải Toán lớp 4 trang 118 Luyện tập chung
Trên đây là lời giải chi tiết Toán lớp 4 Luyện tập trang 118 Bài 5 cho các em học sinh tham khảo, nắm được cách giải các dạng toán Chương 4: Phân số - Các phép tính với phân số - Giới thiệu hình thoi. Qua đó giúp các em học sinh ôn tập chuẩn bị cho các bài thi giữa và cuối học kì lớp 4.
- Lượt xem: 2.634